科研动态
GGR: 斜方辉石、单斜辉石和橄榄石锂同位素标样的成功研发
来源: | 发布日期:2015-12-16

目前,国际上锂(Li)同位素微区原位分析标样处于缺失状态,它的缺失直接制约了Li同位素地球化学行为研究及其在地质过程中的示踪作用。 

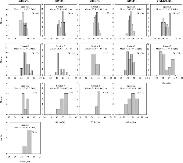
岩石圈演化国家重点实验室苏本勋副研究员在离子探针实验室与法国合作方一起针对地幔Li同位素组成及高温下Li同位素地球化学行为等科学问题,开展了标样研制工作。经过5年的研究,在进行了大量电子探针分析的基础上,对一批斜方辉石、单斜辉石和橄榄石样品进行了详细的离子探针分析,其中有3个斜方辉石、3个单斜辉石和5个橄榄石样品具有均一的Li同位素组成,每个样品的δ7Li测试值均在3~5‰的变化范围内(图1)。与此同时,法国合作者也在其实验室进行了Li同位素均一性检验,得到了相同的结果。因此,这些样品可以作为Li同位素标样。同时他们的研究结果揭示了橄榄石的Mg#值对Li同位素测试基体效应为1‰(图2)。这些标样的成功研发将对Li同位素地球化学及地质过程示踪研究起到极大的推动作用。  

  1 橄榄石的Li同位素均一性检验结果 

  2 矿物Mg#Li同位素测试的基体效应 

该成果近期发表在国际期刊Geostandards and Geoanalytical Research (Su et al. Potential orthopyroxene, clinopyroxene and olivine reference materials for in situ lithium isotope determination. Geostandards and Geoanalytical Research, 2015, 39: 357-369)上。  

   原文链接