 |
|
|
|
|
何宏青等-ApJL:高能粒子在外日球层的传播 2019-12-15
行星际辐射是行星物理的重要研究内容。行星际辐射主要由太阳高能粒子和银河宇宙射线组成,其对深空探测活动产生重要影响,成为行星科学及其工程技术方面的重要研究课题。例如,嫦娥四号、火星一号及国际上正开展的Parker Solar Probe、Solar Orbiter、IMAP等深空探...
查看详细>>>> |
|
|
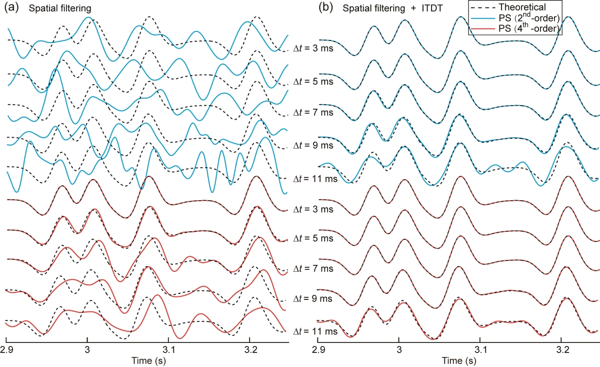
高英杰等-JCP:采用空间滤波法突破显式有限差分的稳定... 2019-12-11
显格式有限差分被广泛应用于地震波场数值模拟领域。然而,该方法的最大时间步长△tmax严格受到Courant-Friedrichs-Lewy (CFL)稳定性条件限制。当时间步长超过△tmax时,波场迭代不再稳定;此外,当时间步长接近△tmax时,数值频散噪音逐渐加重,因此,在地球物理数...
查看详细>>>> |
|
 |
|
|