网站地图联系我们所长信箱内部网English中国科学院
 
 
首页概况简介800彩票概况研究队伍科研成果实验观测合作交流研究生教育学会学报图书馆党群工作创新文化科学传播信息公开
  新闻动态
  您现在的位置:首页 > 新闻动态 > 研究亮点
研究亮点    
Fig.1s.jpg
胡森等-JGR:火星地下卤水活动——来自火星磷灰石H和Cl... 2020-09-15
     普遍认为早期的火星存在液态水,甚至湖泊和海洋。虽然30亿以来,火星表面就已经变成现在这样极度寒冷和干旱的环境,但是近些年的火星探测和火星陨石的研究表明,在火星的局部地区仍然可能存在过地下水(或流体)及水岩作用。火星地形地貌探测结果表明火星地下流体可...
   查看详细>>>>
cover-s.jpg
李金华等-JGR:细菌胞内生物矿化可形成磁性纳米化石 2020-09-11
     信鸽、知更鸟、大马哈鱼、海龟、蜜蜂等高等动物可以感知并利用地磁场的导向作用,进行长距离的迁徙或洄游等。高等动物(如脊椎动物)生物矿化形成骨骼和牙齿,具有支撑和防御功能,也是地质记录开展生命演化的重要化石材料。尺寸更小、结构相对简单的微生物能不能感...
   查看详细>>>>
Fig.3s.jpg
张金海等-NA:嫦娥四号揭密月球背面浅层精细结构和演化... 2020-09-08
     月球很早就停止了大规模构造活动,较完整地保留了天体撞击的痕迹,是研究行星早期演化历史的理想场所。撞击作用会深刻地改造原始的月壳物质,是月面物质大规模运移的重要动力,影响范围可达几百乃至上千公里。探测月球浅层结构是深入认识月球撞击和火山喷发等历史的...
   查看详细>>>>
Fig.3s.jpg
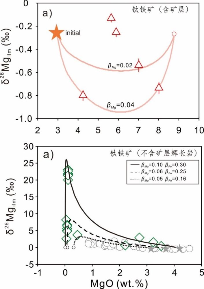
田恒次等-GCA:攀枝花层状岩体中钛铁矿大尺度Mg-Fe同位... 2020-09-08
     钛铁矿常以副矿物的形式存在于火成侵入岩中,是岩浆演化过程的记录者。但是,在镁铁-超镁铁质侵入体中,钛铁矿和磁铁矿是主要的组成矿物,甚至形成具有工业开采价值的钒钛磁铁矿矿床。我国西南攀枝花地区出露的晚古生代末期的岩体(露头面积约30 km2,厚约几百米到2...
   查看详细>>>>
Fig.3s.jpg
尧中华等-JGR:磁重联和偶极化过程驱动木星的晨爆和极... 2020-09-02
     木星上拥有太阳系中最强的极光现象,其紫外极光图片提供了诸多丰富的特征。事实上,在哈勃太空望远镜对木星的首批极光观测中,人们就发现了巨大的极光增强区域。根据极光形态和发生位置等特征,该现象被命名为木星极光晨爆(Auroral Dawn Storm)。虽然木星晨爆事件...
   查看详细>>>>
Fig.1s.jpg
吴亚生等-GJ:寒武系年代地层划分新方法——碳同位素变... 2020-09-02
     我国多个沉积盆地深部寒武系以白云岩为主,且缺失可用于地层对比的化石信息,因此如何对这些白云岩地层进行年代地层划分是国内外研究的重点与难点。国内外学者开展了大量的寒武纪碳同位素研究,以建立碳同位素地层学方法,揭示碳同位素演化的重要地质事件。较典型的...
   查看详细>>>>
Fig.2s.jpg
张强等-Geology:海洋风尘记录对源区古环境演化指示意... 2020-08-26
     亚洲内陆作为全球重要的风尘释放区,新生代以来,在全球气候变化和区域构造运动的双重影响下,亚洲内陆的环境格局发生了深刻的变化。保存在北太平洋的风尘沉积物记录了亚洲内陆风尘源区古环境演化的重要信息。前人普遍观点认为北太平洋地区风尘通量越高,指示亚洲风...
   查看详细>>>>
共200页  首页上5页上一页8687888990下一页下5页尾页
地址:北京市朝阳区北土城西路19号 邮 编:100029 电话:010-82998001 传真:010-62010846
版权所有© 2009- 800彩票 京ICP备05029136号 京公网安备110402500032号