地震波正演模拟通过数值算法模拟地震波在地下介质中的传播过程,是高精度地震成像方法的基础。通常地震波场数值模拟方法的精度和效率不可兼得,限制了深层油气勘探的探测的精度和实际应用。求解波动方程的关键在于利用高效且精确的数值方法计算偏导数,有限差分(FD)法因其计算成本低、适应性强而被广泛应用。然而,受到 Courant-Friedrichs-Lewy (CFL) 条件和数值频散条件的限制,空间与时间网格必须足够细化,导致大规模三维问题计算成本显著增加。因此,构建一种既能保证地震波传播模拟精度,又能有效控制计算成本的有限差分正演算法,是地球物理学家一直在寻求突破的研究方向。
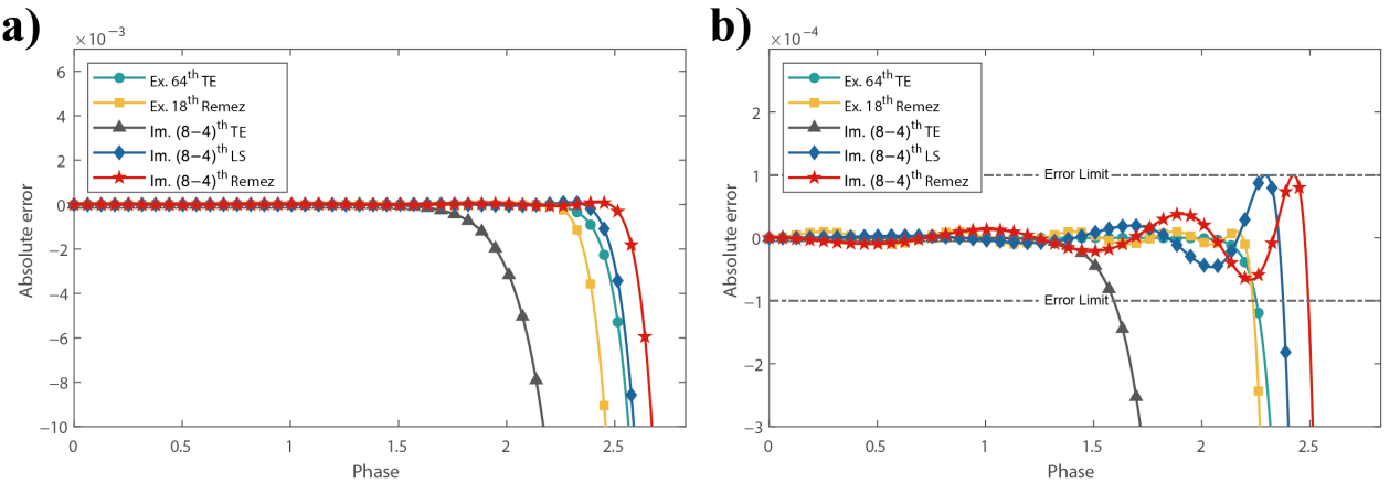
为了提高地震波正演模拟的精度和效率,800彩票博士研究生高张永瑞在张振东研究员和刘伊克研究员的指导下,提出了一种具有最优系数的空间隐式时间显式高阶有限差分新格式。该方法采用Z变换推导高阶空间导数的隐式差分形式,结合因果-反因果积分法进行空间隐式差分计算,在避免额外内存消耗的前提下,以1/3的计算成本,达到了等同于空间显式64阶差分等效精度;同时以时间高阶差分替代二阶差分计算时间偏导数,进一步提高了正演模拟的时间精度和稳定性,图1展示了即使在单个波长内仅有两个采样点的前提下,新方法提出的空间差分和时间差分格式分别在压制空间频散和时间频散时的有效性。差分系数由Remez Exchange算法求出,对比传统泰勒展开和最小二乘优化算法,该差分系数计算出的波数精度更高,这一结论充分体现在图2中的高波数区。

图1 均匀介质模型中的波场快照。(a)震源与接收点在模型中的空间分布示意图;(b)四种方法模拟的波形频散对比。左上为空间显式8阶-时间2阶差分格式;右上为空间显式8阶-时间4阶差分格式;左下为空间隐式/时间2阶差分格式。右下为空间隐式/时间4阶有限差分格式

图2 (a)不同方法下的差分系数计算的波数与理论波数的绝对误差对比;(b)为图a的局部放大视图
该方法在均匀模型和两个典型复杂参考模型上进行了数值实验,波场模拟结果验证了所提出方法的有效性。以Marmousi 模型为例,如图3a-图3d 所示,空间显式8阶-时间2阶差分格式表现出显著的时间频散和空间频散,而空间显式8阶-时间4阶差分格式抑制了时间频散,但仍显示出空间频散。相比之下,空间隐式-时间4阶差分格式几乎没有任何频散,这证明了该方法在提高精度方面的有效性。接着,比较了64阶-时间4阶差分格式的波场,图3d显示两种方法得到的结果几乎完全相同,证明了该正演方法在复杂模型的适用性。从图4绝对误差曲线也可以看出,两者之间的误差很小,可以忽略不计。在总持续时间为4s 的情况下,显式格式和隐式格式的计算时间分别为 452.18 秒和 206.97 秒,这表明该方法在保持相同精度水平的同时,显著提高了计算效率。


图3 Marmousi 模型中的波场快照对比。(a)空间隐式-时间4阶差分格式的结果;(b-d)分别为图a与空间显式8阶-时间2阶差分格式、空间显式8阶-时间4阶差分格式以及空间显式64阶-时间4阶差分格式的波场差异

图4 Marmousi 模型中两个接收点(图2中“+”位置)接收到的波形。蓝实线代表显式 64 阶差分格式的结果,红虚线表示隐式隐式差分的结果,黑点线显示两者之间的绝对误差
随着地下目标复杂程度的提高和计算能力的提升,基于地震全波场的成像技术在地下资源探测和深部成像中得以广泛应用,被学术界和工业界认定为下一代地震成像技术。而高效高精度的正演方法是地震全波场成像的核心技术,该项研究在提高波形模拟精度的同时缩短计算时间,有望推动地震全波场成像的实用化,为复杂构造地区矿产、油气资源探测、环境近地表地震成像等提供方法技术支持。
研究成果发表于国际学术期刊Geophysics(Gao Z, Liu H, Zhang Z, et al. An optimized high-order hybrid implicit and explicit spatiotemporal finite-difference scheme for acoustic wavefield extrapolation[J]. Geophysics, 2025, 90(6): T167-T180. DOI:10.1190/geo2024-0862.1.)。研究受国家自然科学基金项目(42374155, 42130807)资助。