网站地图联系我们所长信箱内部网English中国科学院
 
 
首页概况简介800彩票概况研究队伍科研成果实验观测合作交流研究生教育学会学报图书馆党群工作创新文化科学传播信息公开
  新闻动态
  您现在的位置:首页 > 新闻动态 > 研究亮点
薛丁帅等-ACA:全自动高温水解装备研制与高精度卤素分析技术建立
2025-10-14 | 作者: | 【 】【打印】【关闭

卤族元素(常见四种:氟F、氯Cl、溴Br和碘I)是地球内部与表生系统中一组关键的挥发性元素,对地球科学研究和应用具有重要意义,体现在:(1)地球不同圈层中卤素含量差异显著,使其成为示踪多圈层物质交换与循环的理想示踪剂;(2)卤素可显著增强金属元素在流/熔体中的溶解度,从而调控多种金属元素的迁移、富集与沉淀过程;(3)卤素在深部与地表之间的循环还对大气和海洋环境产生重要影响,例如火山作用释放的大量卤素会破坏大气臭氧层,进而可能引发重大环境灾变事件。因此,精确测定地质样品(尤其是岩石等固体样品)中的卤素含量,是深入揭示上述地质过程的前提与关键。

然而,目前精确测定卤素含量仍面临诸多挑战:首先,卤素在地壳中的含量范围极宽,可从数千ppm(如F和Cl)低至ppb级别(如Br和I),其中碘甚至表现出显著的“块金效应”。其次,卤素具有较强的挥发性,常规酸消解方法(如使用HNO₃)易使其形成卤化氢而造成损失。第三,环境中的卤素本底值普遍较高,对分析造成明显干扰。此外,卤素在质谱检测过程中还存在严重的记忆效应。上述因素共同导致卤素的分析难度极大,也致使地质标准物质中碘的数据严重匮乏——目前仅有极少数标准物质提供碘的推荐值或参考值。

当前,固体样品的全岩卤素分析主要采用三种技术:(1)中子活化分析;(2)氟化氢铵消解——质谱联用技术和(3)高温水解——离子色谱/质谱联合分析技术。其中,中子活化分析在氟的测定方面存在困难,因其半衰期极短(仅11.2秒),而碘的测定则易受放射性核素干扰;此外,该方法还面临中子源预约周期长、成本较高等问题,难以满足大规模卤素分析的需求。近年来发展的氟化氢铵消解技术可以分析氯、溴和碘,但无法检测氟元素。高温水解技术通过在高温条件下使样品与水蒸气、氧气反应,生成挥发性卤素化合物,从而有效提取矿物晶格及难熔材料中的卤素。该技术与离子色谱/质谱联用,该技术能够同时高效、准确地实现四种卤素的测定。然而,高温水解方法在实际应用中仍存在三个技术难点:其一,传统手动前处理装置易导致卤素泄漏,且重复性较差;其二,固体岩石样品中的卤素难以完全释放;其三,水解过程中产生的挥发性卤化物无法被充分捕集。

针对这些技术瓶颈,800彩票岩矿制样与分析实验室薛丁帅高级工程师、郭顺研究员及合作团队,成功研发出全自动卤素高温水解装置,并建立了适用于多种岩石样品中卤素含量的精准分析方法。该方法的分析结果可与放射化学中子活化分析及中子照射惰性气体质谱法相媲美,为地质样品中卤素地球化学研究及其相关地质过程阐释提供了坚实的技术支撑。

1.研制全自动卤素高温水解装置

研究团队通过反复的技术调试与实验验证,解决了在研制高温水解装置过程中遇到的反水、泄漏和压力过载等问题。通过持续的结构优化,历经三次系统性迭代,最终成功研制出性能可靠、运行稳定的全自动卤素高温水解装置(见视频及图1)。该装置由进样单元、高温水解单元和馏分收集单元组成,实现了自动进样、自动清洗与自动馏分收集功能。自动进样避免了手动进样带来的人为误差和操作不一致性;自动清洗确保了燃烧管路和收集冷阱极低的空白;自动收集馏分可以用于进一步的离线质谱分析,并保留备份,便与后续的检查和重复分析。该设备提供了一个高效、可靠且重现性极佳的自动化样品处理流程。大大解放了人力,提高了工作效率,同时提高了分析精度。另外,该全自动卤素高温水解装置可以实现2克的载样量,有效克服了分析碘的“块金效应”,并可以进行超低含量碘(ppb级)的准确分析。

图1 第三代全自动卤素高温水解装置

2.建立样品分解条件

高温水解技术的核心在于使样品在高温下与水蒸气、氧气充分反应,将卤素从矿物晶格及难熔材料中彻底释放,并转化为可吸收的挥发性卤化物。该研究通过大量实验,从V2O5,MoO3,WO3,和U3O8中筛选出最优催化剂V2O5,并确定了最佳反应温度(1130℃)、混合气体配比(氩气250 ml/min + 氧气250 ml/min)及水流速(0.25 ml/min)(图2)。该条件体系成功解决了地质样品卤素分析中“样品分解不完全”的关键难题。

V2O5作为高效催化剂,能与矿物组分反应生成中间态、低熔点的钒酸盐复合物,显著促进矿物分解。以玄武岩标样BHVO-2为例,在最优反应条件下,其原有矿物相(如斜长石、辉石、橄榄石)发生显著相变,生成方石英、莫来石、赤铁矿等新相(图3),证实反应彻底。从化学动力学角度看,V2O5通过构建多步反应路径,有效降低反应活化能;热力学上,持续高温(1130℃)则为反应向右进行提供了强劲驱动力。氧气营造的氧化环境可确保有机物与还原组分被彻底氧化;水蒸气不仅作为水解剂直接破坏硅氧键,也作为吸收剂溶解气态卤化氢(如HF、HCl等),防止HF与石英管壁反应造成损失,同时作为传输载体将释放的卤素高效转移至后端吸收体系。

图2 温度、补水流量与氩/氧混合气流速条件优化实验

图3 标样BHVO-2高温水解反应前后XRD图谱和矿物相转变方程

3.优化卤素捕集条件

为提升卤素回收效率,该研究系统筛选了多种吸收液体系,证实20 mL的NaOH(20 mM)或20 mL 的TMAH与Na2SO3混合溶液可有效捕集卤素。针对花岗岩等样品中氟含量非常高而碘含量极低的特点,传统吸收液体积过大会导致目标元素过度稀释,体积过小则可能回收不完全。为此,研究团队开发了分体式高温水解装置,其进样、裂解与吸收单元可模块化组合。通过将后端吸收单元替换为液氮冷阱,可将吸收液体积降低至5 ml,显著提高待测组分浓度并降低检出限。液氮所提供的超低温环境(模拟计算显示冷阱内部温度达-155°C)能有效捕获并固化挥发性卤化物,此温度低于所有目标卤化氢(HF、HCl、HBr、HI)的凝固点(分别为:-83.4℃,-114.2℃,-86.8℃和-51℃)。液氮冷阱提供的超低温(模拟计算显示冷阱内部温度达-155°C),远低于所有目标卤化氢的凝固点(HF、HCl、HBr、HI的凝固点分别为-83.4°C, -114.2°C, -86.8°C, -51°C),从而能有效“锁定”这些挥发性组分。

图4 分体式卤素高温水解装置与冷阱吸收过程模拟验证

4.分析方法准确度评价

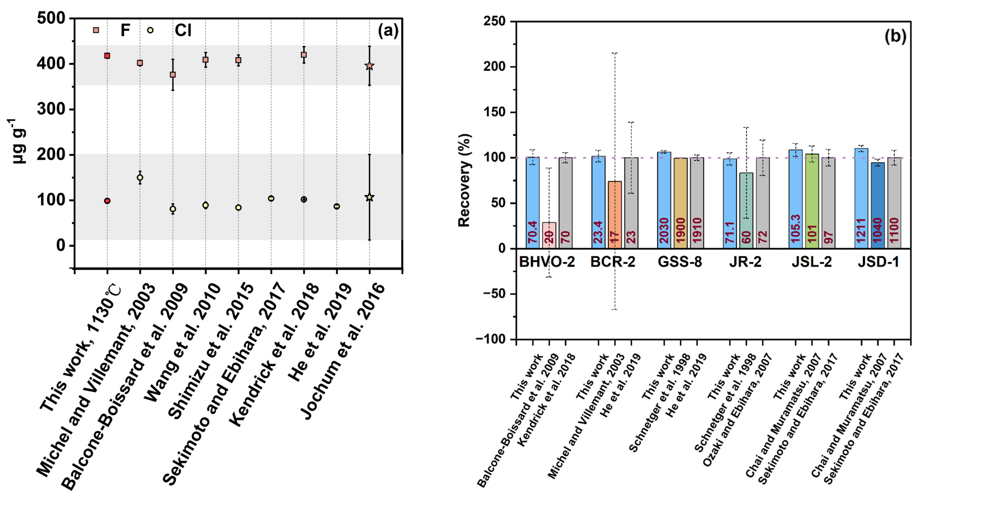
在优化实验装置与反应条件的基础上,系统建立了相应的离子色谱-等离子体质谱(IC-ICP-MS)分析流程,并通过对一系列标准物质的大量分析,证实了该方法在卤素测定中的准确性与适用性。结果表明,团队开发的装备与方法对氟、氯的测定结果相较于国际其他实验室具有更高的准确度与精密度(图5a)。对于含量极低的碘,方法的数据精度显著优于其他采用高温水解技术的实验室,并与放射化学中子活化分析及中子照射惰性气体法的结果高度一致(图5b,中间柱状图为国外其他实验室,采用高温水解技术获得的数据,灰色柱状图为中子活化分析结果)。

图5 氟、氯(a)与碘(b)分析结果的标样数据对比与精度评价

这款自主研发的高温水解装置,成功实现了从底层技术攻关到成熟产品落地的完整创新闭环。目前,该技术已经完成了专利转化,实现了商业化生产;同时多家国内的科研机构和公司已采购了该款高温水解装置,并系统复刻了分析方法。充分验证了设备和方法的可靠性与普适性,为领域内的高精度卤素分析奠定了坚实基础。

研究成果发表于国际分析化学权威期刊ACA(薛丁帅,郭顺*,刘艳红,张丹萍,张迪,李晓光,刘善科. Accurate determination of halogens in geological materials using an automated pyrohydrolysis system with a liquid nitrogen cold trap [J]. Analytica Chimica Acta, 2025, 1345: 343732. DOI: 10.1016/j.aca.2025.343732.)。研究受国家自然科学基金委专项项目(42441836)、中国科学院战略性先导专项B类XDB0710000)和研究所重点部署项目(IGGCAS-202204)的共同资助。

 
地址:北京市朝阳区北土城西路19号 邮 编:100029 电话:010-82998001 传真:010-62010846
版权所有© 2009- 800彩票 京ICP备05029136号 京公网安备110402500032号