锂和硼作为不相容元素和流体活动性元素,在岩浆演化和热液活动中均可能发生不同程度的同位素分馏。花岗伟晶岩矿床的形成通常经历一系列复杂的过程,例如岩浆分异、流体出溶以及熔/流体与围岩反应等。目前,关于锂和硼同位素在高演化花岗伟晶岩体系中的分馏行为尚缺乏系统性研究。

图1(a)喜马拉雅淡色花岗岩分布图;(b)珠峰地区地质简图;(c)琼嘉岗锂矿地质简图
基于上述问题,800彩票施睿哲博士、赵俊兴副研究员、秦克章研究员联合德国GFZ亥姆霍兹地学研究中心Rolf L. Romer教授,以喜马拉雅地区首例具有工业价值的伟晶岩型锂矿(秦克章等,2021),琼嘉岗伟晶岩型锂矿为研究对象(图1),针对矿区内的电气石白云母花岗岩、无矿伟晶岩、分层细晶岩(锂辉石伟晶岩边部带)、锂辉石伟晶岩以及相应的围岩样品开展全岩锂-硼同位素分析,探讨岩浆分异、流体出溶以及与围岩反应这些过程如何控制锂和硼的同位素分馏。结合锂和硼的同位素分馏行为,揭示了琼嘉岗伟晶岩型锂矿岩浆-热液演化过程与成矿作用。同时,对电气石白云母花岗岩、无矿伟晶岩和锂辉石伟晶岩内主要的矿物进行锂和硼同位素分析,研究单个岩石样品内部不同矿物间锂和硼同位素分馏特征。研究取得的主要认识和结论如下:
(1)岩浆分异和流体出溶过程:从电气石白云母花岗岩到无矿伟晶岩和分层细晶岩,全岩的δ7Li值随Li含量的升高而逐渐升高,δ11B值随B含量的降低而略微降低,指示岩浆分异过程。锂辉石伟晶岩的δ7Li值和δ11B值则出现显著降低,Li含量显著增高。这种元素和同位素组成的变化表明,锂辉石伟晶岩的形成不能仅靠岩浆分异来解释。岩浆结晶历史结合瑞利分馏模拟显示电气石白云母花岗岩熔体早期发生相分离形成富流体熔体和贫流体熔体,富流体熔体经多阶段岩浆分异和流体出溶最终形成锂辉石伟晶岩(图2)。而无矿伟晶岩和分层细晶岩则是由贫流体熔体经单阶段岩浆分异形成。

图2 多阶段分离结晶伴随流体出溶过程中残余熔体中Li含量及同位素组成变化
(2)与围岩反应:在研究的样品中,存在一个电气石白云母花岗岩样品Li含量低于其他样品,而δ7Li值较高。另有两个分层细晶岩样品拥有显著低的δ7Li值和δ11B值。这些样品元素和同位素组成的差异均由熔体和围岩反应所导致,且这一过程对体系同位素组成的影响受控于岩浆岩和围岩之间元素含量的差异(图3)。

图3 与围岩反应对岩浆岩元素和同位素组成的影响
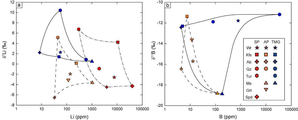
(3)单个样品内不同矿物间同位素分馏:花岗岩内常见造岩矿物(长石、石英、云母)间的同位素分馏多受控于矿物结晶顺序,早期结晶的矿物使得残余熔体的δ7Li值和δ11B值升高,进一步导致晚期结晶的矿物拥有高于早期结晶矿物的δ7Li值和δ11B值。本研究对花岗岩和伟晶岩内更多的矿物进行同位素分析,结果显示除矿物结晶顺序外,矿物的配位数、微量矿物包裹体的混入以及流体作用都会对矿物的锂和硼同位素组成造成不同程度的影响(图4)。

图4 琼嘉岗矿物样品Li-B含量和同位素二元数据图解
该研究为高演化花岗伟晶岩体系中岩浆分异、流体出溶以及与围岩反应如何控制锂和硼同位素分馏提供系统性研究案例。同时提出多阶段岩浆分异和流体出溶控制锂辉石伟晶岩形成这一模型(图5),为解释喜马拉雅地区锂辉石伟晶岩成因提供新的见解。研究还提出了更多的控制单个岩石样品内不同矿物间同位素分馏的因素。

图5 高演化花岗伟晶岩体系Li-B同位素分馏示意图(以琼嘉岗为例)
研究成果近期发表于国际学术期刊GCA(施睿哲,Rolf L. Romer,赵俊兴*,Johannes Glodny,何畅通,秦克章. Isotopic fractionation of Li and B in highly evolved granitic systems[J]. Geochimica et Cosmochimica Acta, 2025,402: 76-91. DOI: 10.1016/j.gca.2025.06.026.)