碳酸岩是一种富含碳酸盐矿物的火成岩,其岩浆来源长期存在争议。20世纪60年代之前,学界普遍认为碳酸岩岩浆是沉积碳酸盐岩在地壳深度熔融的产物,即壳源成因。此后,基于岩石学、矿物学、地球化学及实验岩石学证据提出的幔源成因观点逐渐成为主流。近年来,随着全球壳源碳酸岩报道的增多,壳源成因观点重新受到关注。这些壳源碳酸岩主要分布于造山带,形成时代从元古代延续至新生代,其地球化学和同位素特征(如稀土配分模式、Sr-Nd同位素、C-O同位素)明显区别于典型幔源碳酸岩。值得注意的是,许多位于造山带内部、先前被归类为幔源碳酸岩的岩体,在岩石学特征和地球化学指标上展现出与已知壳源碳酸岩的高度相似性。这一现象引出了一个关键科学问题:如何准确区分幔源与壳源碳酸岩?亟需引入新的判别依据。
针对这一问题,800彩票博士研究生王世莹在导师苏本勋研究员的指导下,聚焦华北克拉通中部造山带内蒙古丰镇地区的古元古代碳酸岩岩体(图1)。前人研究认为该碳酸岩属幔源岩浆岩,形成于华北克拉通东西板块碰撞拼合后深俯冲过程中蚀变洋壳内沉积碳酸盐的部分熔融。然而,该岩体却展现出显著的壳源碳酸岩特征,例如:显著缺乏幔源标志矿物烧绿石且围岩无霓长岩化蚀变;方解石的稀土元素含量低于典型幔源碳酸岩;其微量元素配分模式呈现Eu异常及高场强元素亏损(图2);以及与壳源碳酸岩相似的Sr-Nd同位素特征(图3)。因此,研究团队系统开展了野外地质观察、岩石矿物学观察、矿物主微量元素分析及Li同位素分析,以重新厘定其成因。

图1(a)华北克拉通地质图;(b)内蒙古丰镇地区地质图

图2 内蒙古丰镇碳酸岩方解石地球化学特征(a)稀土元素配分图;(b)微量元素蛛网图

图3 丰镇碳酸岩与全球壳源、幔源碳酸岩Sr-Nd同位素组成对比
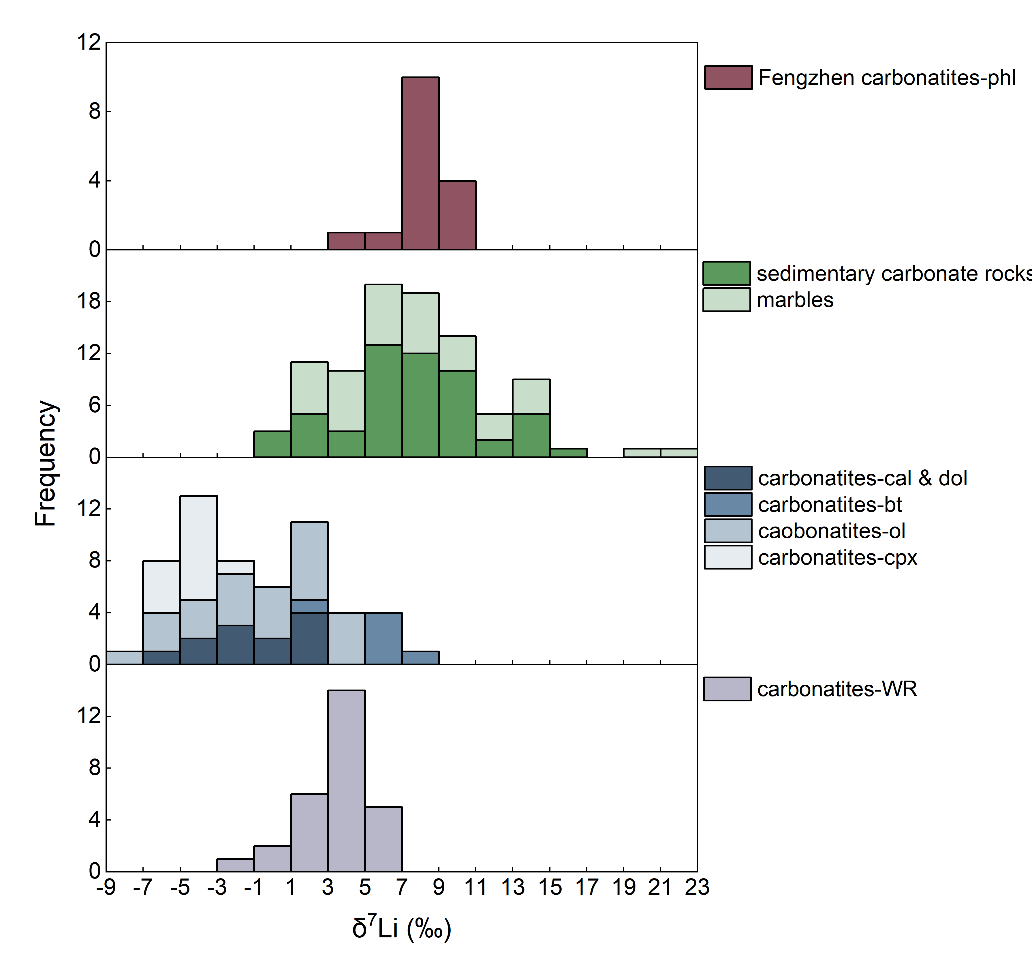
研究结果表明,作为丰镇碳酸岩中最富锂相的金云母,其Li同位素组成为4.87‰至10.87‰,平均值为7.97‰ ± 1.53‰。这一范围显著高于幔源碳酸岩的Li同位素组成(2‰至6‰;图4),并与(变)沉积碳酸盐岩的特征一致(图5),充分指示其壳源属性。此外,综合野外产状与Li同位素的二元混合模型分析(图6)揭示,该岩体形成于古元古代(~1900-1800 Ma)造山期构造热事件,主要源于古元古代(变)沉积碳酸盐岩的熔融,伴有少量太古宙花岗岩组分的加入。同时,在邻近丰镇地区、位于孔兹岩带内发现的同时代(~1951 Ma)大青山壳源碳酸岩岩体(图1),进一步表明丰镇地区壳源碳酸岩的存在并非孤例。
综合全球碳酸岩的时空分布与同位素数据,该研究提出造山带内壳源碳酸岩的发育程度可能远超既往认知。这一认识对重新评估全球深部碳循环通量、造山带成矿潜力及大陆碰撞过程具有重要启示。尤为重要的是,研究创新性地运用Li同位素示踪技术,为识别壳源碳酸岩提供了新的判别依据。

图4 内蒙古丰镇碳酸岩金云母与幔源碳酸岩Li同位素组成对比

图5 内蒙古丰镇碳酸岩中金云母与(变)沉积碳酸盐岩及幔源碳酸岩的单矿物与全岩Li同位素组成对比
图6 内蒙古丰镇碳酸岩Li同位素二元混合模拟
研究成果发表于国际学术期刊PR(王世莹*,苏本勋*,王静,刘善科,李文君. Paleoproterozoic crustal-derived carbonatites in Trans-North China Orogen [J]. Precambrian Research, 2025, 427: 107824. DOI: 10.1016/j.precamres.2025.107824.)。研究受国家自然科学基金(42303047)资助。

王世莹(博士生)