前情回顾
月球是太阳系无大气天体的典型代表,是目前探测次数最多,表面水分布和含量认识最全面的地外天体。“克莱门汀”、“月球勘探者”、“月船一号”、月球南极撞击实验等一系列探测任务对月表水的含量和分布进行了广泛地探测,发现月表水存在几个个典型特征:(1)月表水呈现明显的纬度差异,高纬度地区明显比低纬度的水含量高,极区可能存在水冰(Clark, 2009; Sunshine et al., 2009);(2)月表水的含量呈现与月球的昼夜变化相关,相同位置在晨昏时刻的水含量明显比中午时刻高(Sunshine et al., 2009; Wöhler et al., 2017);(3)月表水的含量仅为10-1000微克/克 (Clark, 2009),局部有比较高的区域(Li and Milliken, 2017)。这些特征说明,月表虽然有水,但含量低,且动态变化,暗示月表水可能随时间会发生迁移。“月球大气与尘埃环境”探测任务检测到月球空间环境中的水分子逃逸,逃逸的时间与流星雨事件相关,但是计算表明月表水的输入量明显小于月球空间的水逃逸量,因此推测流星雨撞击月球时把月壤中储存的一部分水蒸发到月球空间导致逃逸,进而提出了月表水循环(Lunar surface water cycle)猜想(Benna et al., 2019)。该猜想认为,月表10厘米到3米区域可能有一个未被发现的储水层(图1)。

图1 月表水循环的示意图(改自Benna et al.,2019)
月壤中的哪种组分能够维持月表水循环呢?800彩票的研究团队首先梳理了月壤的主要组成,主要包括岩屑、角砾、胶结物、矿物碎片、撞击玻璃(珠)、外源物质、细粒月壤等主要组分,他们推测月壤中的玻璃可能是维持月表水循环的重要载体,理由有两点:(1)玻璃具有储水能力;(2)玻璃是月壤中普遍存在的组分,且具有较高的丰度。因此,三年前,他们从嫦娥五号返回月壤中挑选了月壤中代表性的玻璃组分——撞击玻璃珠,开展了相关的探索。研究发现,月壤中的均质撞击玻璃珠可以储存丰富的太阳风成因水,确证月壤中的撞击玻璃具备维持月表水循环的能力和潜质,相关结果详见《何会存等-NG:小珠子,大作用》(图2;He et al., 2023)。

图2 撞击玻璃珠参与月表水循环模式图。Stage 1: 撞击玻璃珠的形成,该过程伴随着强烈的冲击,形成的玻璃珠均匀干净,几乎失去了其所有的挥发性成分。Stage 2: 太阳风质子注入颗粒表面形成水合分子,而后水向玻璃珠内部扩散。Stage 3: 携带水的玻璃珠在月表“翻耕”作用下向月壤深处转移,形成月壤中的“水库”。表层新形成的玻璃珠继续接受太阳风成因水的扩散,同时在温度升高的条件下(光照或陨石撞击),水被释放到月球外逸层
嫦娥五号撞击玻璃珠富含太阳风成因水的开拓性研究带了新的启示,首先需要回答撞击玻璃珠储存太阳风成因水是否具有普适性,其次需要深入理解在月表及其严苛的环境下撞击玻璃如何能储存太阳风成因水。本篇“小珠子,大作用”系列(二)旨在通过分析嫦娥五号之外的撞击玻璃珠来检验其储存太阳风成因水是否具有普适性,并对撞击玻璃的储水机理进行拓展研究。
研究发现
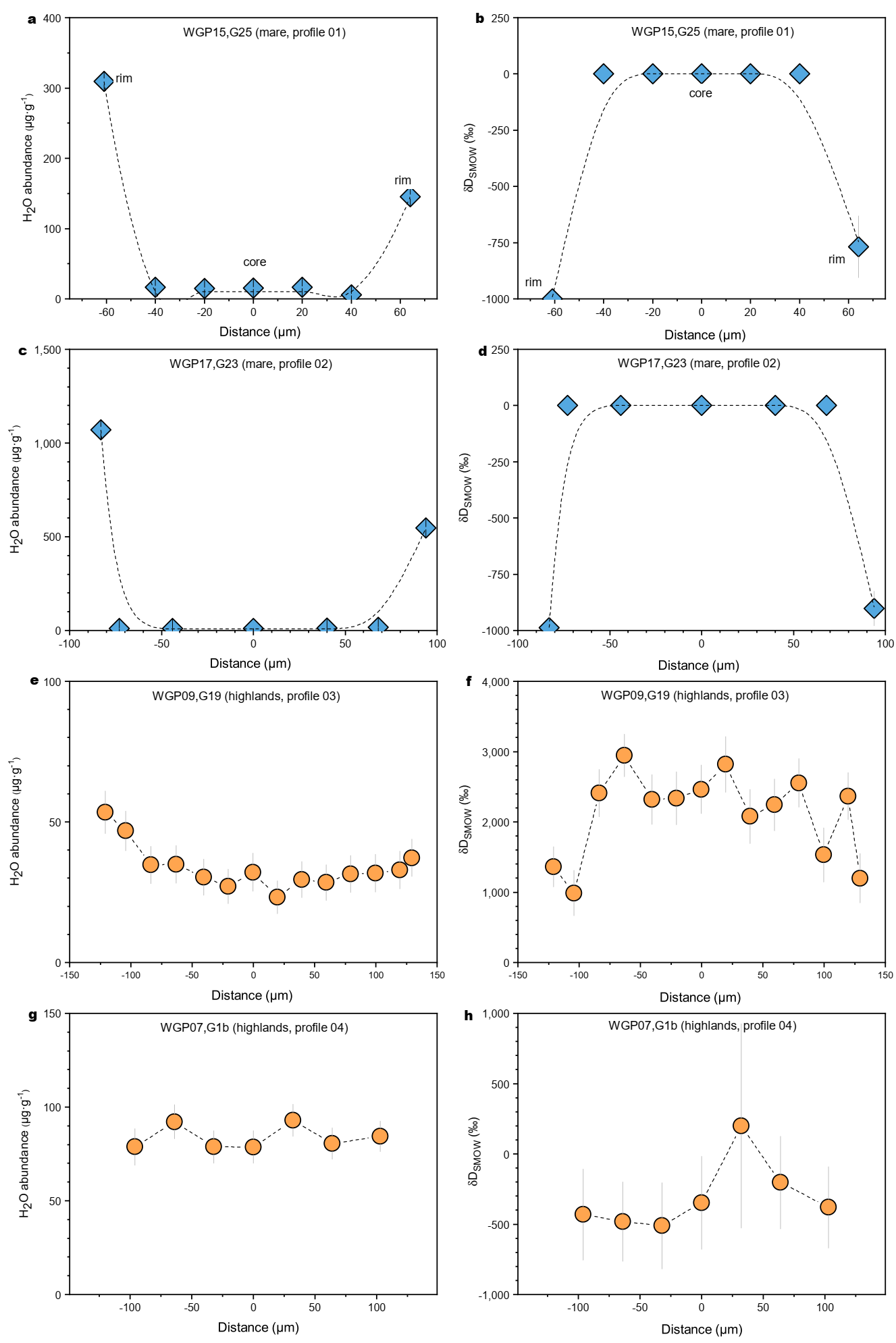
800彩票行星科学与前沿技术实验室博士后何会存与其导师胡森研究员、嫦娥六号样品研究突击队、南京大学等围绕撞击玻璃珠储存太阳风成因水的普适性这一科学问题,选择了我国近期返回的、距离嫦娥五号数千千米远的嫦娥六号月壤作为分析对象,从中挑选了28颗均质的玻璃珠,开展了玻璃珠储存太阳风成因水的普适性研究。他们发现,嫦娥六号月壤中的28颗均质玻璃含有丰富的成分类型,其中15颗为高地玻璃,12颗为玄武质玻璃,1颗为苦橄质成分的撞击玻璃,与以玄武质玻璃为主的嫦娥五号月壤有显著差异。通过微区水含量与氢同位素组成分析,他们发现CE6玄武质撞击玻璃珠的水含量小于1000 克/吨(微克/克),仅为CE5的一半(图3);玄武质撞击玻璃珠的水含量与氢同位素组成具有明显的负相关性(图3)。剖面分析结果显示部分玄武质玻璃珠水含量边部高、核部低的环带特征,且富水条带小于4微米,仅为CE5的十分之一(图4)。这些特征一方面确证月壤撞击玻璃珠储存太阳风成因水具有普适性和全球性,同时也表面玻璃珠储存特征在正背面存在差异。CE6斜长质撞击玻璃珠的分析结果显示,这些玻璃珠与玄武质玻璃珠相比,具有明显低的水含量和更高的氢同位素组成(图3),且没有探测到太阳风成因水的扩散特征,水含量在单颗珠子内部没有显著变化(图5)。
与CE5相比,为何CE6玄武质玻璃珠储存太阳风成因水更低?为何斜长质玻璃珠几乎不含太阳风成因水?他们对造成这些差异的原因进行了分析,例如,暴露时间,地质年龄,太阳风通量和能量等影响因素进行了逐一识别,发现这些因素无法解释现有观测数据。进而,他们对玻璃珠中的太阳风成因水含量与玻璃珠的成分开展了相关性分析,发现玻璃的成分可能是影响玻璃储存太阳风成因水能力和效率的关键调控因素,玄武质玻璃与斜长质玻璃相比,具有更高效吸收太阳风氢的能力,同时,更富铁和钛的玄武质玻璃比贫铁和钛的玄武质玻璃更容易吸收和储存太阳风氢。

图3 嫦娥六号撞击玻璃珠的水含量和氢同位素组成。 (a)CE6均质撞击玻璃珠的水含量与氢同位素组成(δD)呈现负相关关系,富水端元为太阳风成因水(δD < -900‰);(b)单颗均质撞击玻璃珠的平均水含量与δD值。Farside IGBs为CE6撞击玻璃珠,Nearside IGBs主要数据来自嫦娥五号月壤

图4 玻璃珠边部氢元素分布图。嫦娥六号玄武质玻璃珠WGP15,G25 (a-b)和WGP17,G23(c-d)边部的氢含量分布,玻璃珠边部具有明显富水环带,指示太阳风成因水向玻璃珠内部扩散保存,但扩散深度小于4μm

图5 嫦娥六号撞击玻璃珠的水含量和氢同位素剖面。月海玄武质撞击玻璃(a-d)呈现太阳风成因水向内部扩散保存的特征,高地斜长质玻璃内部水含量和氢同位素组成无显著差异(e-h)
意义和启示
他们的研究说明:撞击玻璃珠储存太阳风成因水具有普适性,但主要保存在玄武质玻璃珠,斜长质撞击玻璃珠吸收太阳风成因水的效率较低,说明月壤中的撞击玻璃珠在储存太阳风成因水的过程中表现出二分特性,储存太阳风成因水的能力和效率跟玻璃的成分相关。这些新发现在拓展月表水迁移和循环认识方面具有重要意义,月表岩石主要由玄武岩和斜长岩组成,当太阳风斜长质玻璃珠作用时,由于斜长质撞击玻璃不具备吸收太阳风氢的能力,氢很可能会被释放到月球空间,参与月表水循环;相比,玄武岩中的月壤富含玄武质玻璃珠,可以吸收较多的太阳风氢并保存在月壤中,为后续水资源利用提供可能,两种玻璃一起作用维持月表水循环。他们的研究说明这些月壤中的小珠子极其有意思,其储存太阳风成因水的机理比预期更复杂,未来还需要深入研究,为理解月表高真空、强辐射、大温变等严苛环境下月球与与其他无大气天体表面水的来源和保存机理提供新认知。
研究成果近期发表于国际学术期刊NC (He, H., Hu, S.*, Gao, L., Li, R., Hao, J., Mitchell, R.N., Lu, K., Gao, Y., Li, L., Qiu, M., Zhou, Z., Yang, W., Cai, S., Chen, Y., Jia, L., Li, Q.-L., Hui, H., Lin, Y., Li, X.H., Wu, F.Y., 2025. Lunar dichotomy in surface water storage of impact glass beads[J]. Nature Communications, 2025. DOI:10.1038/s41467-025-60388-y.). 研究受国家基金委(42241104)、博新计划(BX20240365)、我所重点部署项目(IGGCAS-202401和202204)等资助。

何会存(博士后)