地幔对流如同地球内部的“循环系统”,不断将浅表物质输送至深部,又将深部物质带回地表,从而实现地球的“散热”。这一过程对地球长期演化至关重要——它驱动并维持着板块构造的运行,同时承载着深部挥发物的循环,在亿万年尺度上稳定了地球的大气、水圈与气候环境,为生命的孕育与延续提供了基础保障。
在这一过程中,地幔过渡带被视为“地幔对流的守门员”:当俯冲板块从上地幔进入地幔过渡带时,既可能继续下沉至下地幔,也可能停滞于此。控制这一过程的因素众多,其中之一便是地幔过渡带物质成分的非均一性 (Goes at al., 2022)。近年来,地震学研究逐渐揭示出地幔过渡带底部存在广泛的玄武岩富集,且主要集中在现代俯冲带附近 (Tauzin et al., 2022,Yu et al., 2023)。这些玄武岩通常被认为是俯冲洋壳在与岩石圈分离后,在地幔过渡带中堆积形成的 (Feng et al., 2021)。然而,海洋地壳与岩石圈的分离过程本身并不容易,且现今俯冲洋壳的规模也难以完全解释这些广泛的玄武岩异常(Tauzin et al., 2022),其来源及与俯冲动力学的关系仍存在诸多未解之处。
为深入探究地幔过渡带中的成分异常及其对俯冲板块行为的影响,800彩票岩石圈演化与环境演变全国重点实验室杨旭松博士联合得克萨斯大学奥斯汀分校谢裕江博士、伍兹霍尔海洋研究所 Catherine A. Rychert 和 Nicholas Harmon 教授、帝国理工大学 Saskia Goes 教授、卡尔斯鲁厄理工学院 Andreas Rietbrock 教授、西印度群岛大学 Lloyd Lynch 教授及VoiLA 研究团队其它成员,基于“小安的列斯群岛挥发分循环过程研究计划”(Project VoiLA: Volatile Recycling in the Lesser Antilles)布设的大量海底地震仪观测数据,对该区域地幔过渡带结构进行了系统成像(图1)。

图1 研究区域构造简图 三角形和菱形分别表示海底与陆上地震台站(颜色区分数据来源),白色等值线表示俯冲板片等深线(单位:km)
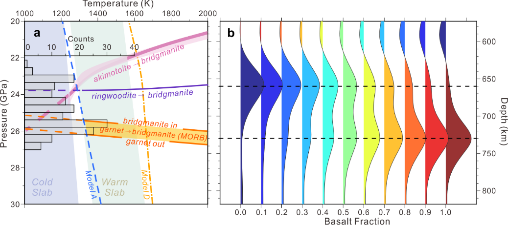
研究团队采用远震接收函数成像技术,在小安的列斯俯冲带下方识别出一个异常增厚的地幔过渡带(>300 km)(图2c),主要由异常加深(>700 km)的地幔过渡带底部边界——即660界面所致(图2b)。通常情况下,660界面的深度变化由林伍德石(Ringwoodite)的相变主导,反映不同温度条件下的相变压力。然而在该区域,660界面的深度已超出林伍德石相变所能解释的范围,更合理的解释是该界面由石榴子石的相变主导 (图3a)。考虑到在该区域的温度状态下,由石榴子石相变主导660界面需要较高的玄武岩含量 (图3b),因此这一异常深度本质上反映了地幔过渡带中存在显著的玄武岩富集。

图2 小安的列斯区域地幔过渡带结构特征与波速扰动 (a)410界面深度分布(b)660界面深度分布(c)地幔过渡带厚度分布(d)地幔过渡带底部速度扰动(Braszus et al., 2021)。图 a–c 中的等值线表示相应深度处的波速扰动。图d中的灰色等值线表示构造重建的俯冲板片位置,黄色方块和星号表示构造重建预测的俯冲洋中脊位置(Braszus et al., 2021)。图d中的高速体代表俯冲的板片,夹在其中的低速体被解释为俯冲的洋中脊残留结构(Braszus et al., 2021)

图3 地幔过渡带底部矿物相变边界与地震学模拟结果 (a) 预测的矿物相变边界与观测到的 660 km 界面深度统计(统计网格见图 2b)。蓝色和橙色虚线分别表示热动力学模拟中小安的列斯俯冲带的冷(Model A)与热(Model D)地温剖面上限与下限。结果显示,在该区域的温度条件下,石榴石(garnet)的相变最能解释观测到的 >700 km 深的660界面。(b) 基于不同玄武岩组分的接收函数模拟结果。图中显示,只有在较高玄武岩含量下,石榴石相变才会主导 660 km 界面,导致其在成像中表现为异常加深
更为引人注目的是,这些玄武岩富集的分布位置,并未如传统“堆积洋壳”模型所预测那样出现在板片前缘,而是位于俯冲板片及其后方区域,与此前研究提出的“俯冲洋中脊”位置高度吻合(图2)。研究推测,大量玄武质岩浆可能在洋中脊附近冻结并嵌入岩石圈(Sim et al., 2024),随后随板块一同俯冲进入地幔过渡带,导致了局部的玄武岩富集。
此外,在地幔过渡带底部,玄武岩相较于周围地幔岩密度更低(Ballmer et al., 2015),因此当俯冲板块中存在大量玄武岩异常时,其继续下沉至下地幔的能力将显著受限。而板片在过渡带中的滞留,会进一步促进玄武岩的局部堆积。
此前,石榴子石相变控制的660界面仅在热点地区有所报道,而此次在相对较冷的俯冲带首次观测到该机制,具有重要意义。研究结果表明,由洋中脊活动或其他构造过程引发的大洋岩石圈内部成分不均一性,能够在板块深俯冲过程中持续发挥影响,不仅影响了地幔过渡带的成分结构,也深刻影响了俯冲板块的深部运移过程。
研究成果发表于国际顶级学术期刊Nature。(杨旭松,谢裕江,Catherine A. Rychert, Nicholas Harmon, Saskia Goes, Andreas Rietbrock, Lloyd Lych, & Members of the VoiLA Working Group. Seismic imaging of a basaltic Lesser Antilles slab from ancient tectonics [J]. Nature, 2025. DOI: 10.1038/s41586-025-08754-0.)该研究受国家自然科学基金项目(42488201,92355001 and 42030308)和中国科学院战略性先导科技专项(B类)(XDB0710000)等联合资助。

杨旭松(博士后)