着陆器羽流与行星表层相互作用(PSI),是行星探测器安全着陆的重要研究方向,着陆器羽流喷射工程参数与行星土壤物理力学特性共同控制着陆器下降速度、姿态和着陆坑形貌。着陆坑形貌不仅能揭示行星土壤表层结构,也是行星土壤物理力学特性的重要约束。
“天问一号”在火星乌托邦平原着陆,形成了约40厘米深的着陆坑,这是人类探测器在火星表面形成的最深着陆坑,揭露了火星土壤表层直至数十厘米深度的物质、结构等重要信息,通过着陆坑形貌特征反演火壤力学特性,提供了科学认识火壤的另一路径。
800彩票李守定和李娟跨学科研究团队在前人羽流表面相互作用(PSI)单项耦合研究的基础上,考虑了着陆器羽流与着陆坑形态演化的双向耦合作用,基于计算流体动力学方法(CFD)和由Roberts理论修正的侵蚀模型,建立了羽流表面相互作用(PSI)和着陆坑演化的数值模型(图1),在着陆坑深度较大时,着陆坑形态变化会影响羽流的形态,从而改变羽流对着陆坑的应力,进而影响着陆坑的侵蚀。
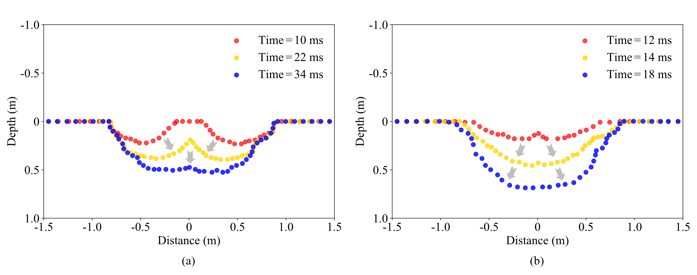
研究团队探讨了不同喷口高度和不同火壤力学性质下着陆坑的演化规律,通过数值模拟开展了火壤力学参数敏感性研究(图2)。研究结果表明:内聚力和内摩擦角的增加,会导致侵蚀速率和着陆坑最大深度的减小,内聚力的影响力比内摩擦角更大;喷口高度对着陆坑演化的作用没有明确的规律,它与“马赫环”的空间位置相互作用,二者共同影响侵蚀过程;按照形态特征,将着陆坑的演化分为分散型和集中型两种侵蚀模式;根据“天问一号”着陆坑形貌特征估算了着陆区火星土壤力学性质的上限(图3):内摩擦角为25°-41°时,对应的内聚力范围为2612-2042 Pa。

图1 PSI过程着陆坑形貌演化

图2 不同喷口高度下的着陆坑深度演化曲线及典型着陆坑形态


图3 (上)不同侵蚀模式下着陆坑的形态演化(模拟算例数据)(上左:分散型侵蚀模式;上右:集中型侵蚀模式);(下)基于着陆坑形貌反演的天问一号着陆点火壤力学参数范围
研究成果发表于IJMST(陈薪硕,张召彬,李娟*,李守定*,徐涛,郑博,孙修阔,武艳芳,刁一鸣,李晓. Formation of Tianwen-1 landing crater and mechanical properties of Martian soil near the landing site[J].International Journal of Mining Science and Technology, 2024, 34(9): 1293-1303.DOI: 10.1016/j.ijmst.2024.08.010.)。
该研究受到三年前地星学术沙龙讨论的启发,同时也受益于与工程地质研究团队师生之间相互学习、深度交流合作的过程,作者对此次跨学科深度交流合作以及研究所 “天问一号” 火星研究团队所提供的帮助致以诚挚谢意。研究成果受研究所重点部署项目(IGGCAS - 202102 和 IGGCAS - 201904)及国家自然科学基金项目(42230111)资助。