深部地热能资源潜力巨大。增强地热系统(EGS)是开采深部地热能的主要技术,也是当前国际地热界技术研发的制高点。EGS技术体系的关键环节主要是:靶区优选、储层建造、循环保障和利用。在这些环节中,示踪技术发挥着不可替代的作用(图1)。
迄今为止,世界已开展了64个EGS工程试验,几乎均包括了示踪技术应用。在作者检索到的134次示踪试验中,涉及的示踪剂多达41种,试验的效果差异很大。因此,亟需对全世界已有的示踪试验加以梳理,为未来示踪试验的开展提出技术选择依据,并指明未来技术研发方向。
为此,800彩票博士生任亚倩和导师孔彦龙副研究员等,基于大量的国内外文献阅读和分析,对与EGS技术相关的示踪技术进展进行了全面评述。

图1 示踪试验在EGS工程关键环节中得到应用
文章首先对40余种示踪剂做了归类,分为惰性示踪剂、吸附示踪剂、热敏示踪剂、纳米示踪剂和气体示踪剂。基于以往研究,文章分析了不同示踪剂的特征优势(表1)。并对示踪试验数据解译方法做了归纳,示踪测试可以用于确定井间连通性、估算热储体积、评估换热面积和预测热突破(图2)。
表1 不同示踪剂的特征优势
|
示踪剂类别 |
示踪特点 |
|
惰性示踪剂 |
惰性示踪剂更能反应真实水流速度,不存在其他反应影响对真实水流速度的测定。 |
|
吸附示踪剂 |
利用可逆吸附产生的示踪剂运移“迟滞”和吸附面积的关系,表征吸附面积。 |
|
热敏示踪剂 |
利用热敏示踪剂降解速度与温度的关系确定储层温度的变化,进而预测热突破的发生。 |
|
气体示踪剂 |
利用气体示踪剂的运移特征,识别路径更短、流速更快、弯曲度小的优势通道。 |
|
纳米示踪剂 |
纳米颗粒具有穿透性强的运移特征,也可以通过添加修饰物使其具有可控的物化性质。 |
|
DNA示踪剂 |
利用DNA片段的唯一可识别性,在多个注入井注入不同DNA示踪剂,判断裂隙的连通性。从颗粒粒径上,也属于纳米示踪剂。 |
|
磁流体示踪剂 |
利用磁颗粒的磁信号和电信号,作为井间磁层析成像技术的信号增强剂反演水流运移轨迹。从颗粒粒径上,也属于纳米示踪剂。 |
|
晶体示踪剂 |
通过对官能团和晶体结构的调整,改变其荧光性质,进而设计具有不同物化性质且可区别、易检测的示踪剂。从颗粒粒径上,也属于纳米示踪剂。 |

图2 示踪测试的解译方法
在上述方法中,最为关键的方法是换热面积的评估和热突破的预测,因为这直接关系到EGS工程的成功与否(图3)。研究人员发现以往认为理想的材料—惰性示踪剂无法实现对换热面积的准确估算,而新型示踪剂,包括吸附示踪剂、热敏示踪剂、纳米示踪剂能够起到帮助,但也有一定的难度:
(1)吸附示踪剂表征:利用吸附产生的流动阻滞和吸附面积的函数关系计算换热面积,也常通过建立溶质运移模型求解吸附面积,该方法求解的吸附面积与换热面积有数量级上的差异,其中吸附面积与换热面积关系多是经验公式,没有物理含义;
(2)不同扩散系数的示踪剂进行表征:利用多种不同扩散系数的示踪剂建立溶质运移模型,具有不同数量级差异的扩散系数系数帮助解决单个示踪剂的多解性的问题,但目前场地尺度的示踪剂水动力弥散系数差异并不明显;
(3)热敏示踪剂表征:利用热降解示踪剂降解速度和储层温度的关系,计算流体温度,为预测流体的热降,需要连续开展数次热降解示踪测试,直到流体温度发生明显变化,对示踪测试和示踪剂的要求都很高,难以实现。

图3 示踪测试解译热突破的四种方法
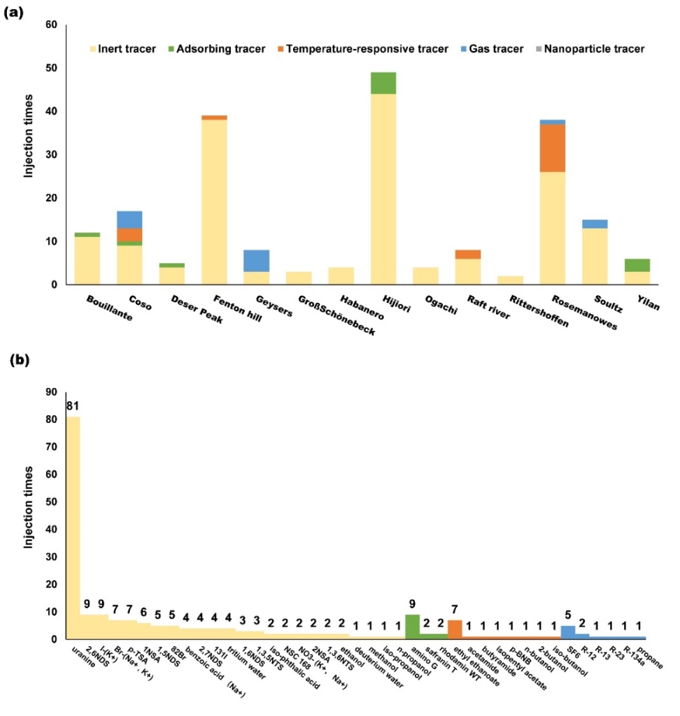
文章最后总结了全球已经开展的示踪试验的应用效果(图4),归纳了影响场地尺度示踪试验效果的因素,指出除了示踪剂选择的问题外,示踪剂注入质量、监测时间、基于水动力条件的经验公式会影响示踪试验结果。在有机示踪剂的选择中,反应常数很重要(图5)。

图4 EGS示踪测试汇总

图5 有机示踪剂的反应区间
成果发表于可再生能源领域国际权威期刊RSER(任亚倩, 孔彦龙*, 庞忠和, 汪集暘. A comprehensive review of tracer tests in enhanced geothermal systems [J]. Renewable and Sustainable Energy Reviews, 2023. DOI: 10.1016/j.rser.2023.113393)。研究受国家自然科学基金重大项目(52192623)、国家重点研发项目(2018YFB1501801,2019YFB1504101)、中国科学院青促会 (2020067) 资助。