在青藏高原的地学研究中,地壳流模型是最具代表性的动力学模型之一,它符合人们对地壳增厚、升温、熔融、弱化的逻辑推断,该模型认为中、下地壳熔融(或部分熔融)的物质在重力压强差的作用下,从高原中部高海拔区域流动到高原边缘的低海拔区域,能够很好地解释中-晚中新世以来高原中部的伸展构造发育(高原垮塌)和高原周缘准同步的地表快速抬升(高原扩展),因此地壳流模型得到了许多青藏高原地学研究者的推崇,同时也成为地震学界对高原中下地壳地震波低速层最常见的解释。然而,青藏高原中、下地壳的低速以及地震波各向异性并不足以确定可以表征地壳流。例如,产生中下地壳地震波各向异性除了地壳流,还有很多可能的原因;地震波低速指示的熔融是否能够达到可以长距离流动的程度。
高原中部伸展构造发育,是地壳流模型中地壳流的发源地,因此也是检验地壳流模型的极佳场所。800彩票岩石圈演化国家重点实验室构造地球物理学学科组的聂仕潭博士后与田小波研究员、梁晓峰副研究员及大地构造学学科组的万博研究员合作,基于青藏高原中部的SANDWICH宽频带地震台阵数据(图1a),在高原中部进行了地壳S波速度结构反演。为了构建可靠的地壳速度结构以便对低速层进行定量分析,本研究采用了接收函数和面波联合反演,避免了接收函数单独反演对绝对速度的不敏感和面波单独反演对速度跳变的不敏感。

图1 青藏高原构造图和共轭走滑断层的形成模型。(a)SANDWICH地震台阵分布;(b)青藏高原的主要构造单元及研究区位置;(c)使用的地震事件分布;(d)前人根据地震波低速层分布提出的地壳流剪切的拉张构造动力学模型;(e)前人根据高电导层分布提出的地壳流剪切的拉张构造动力学模型;(f)本项研究提出的塑性中下地壳侧向伸展剪切的拉张构造动力学模型
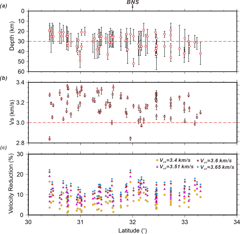
研究结果表明,所有台站下方的中下地壳均存在低速层,且低速层的最小S波速度大多在3.0-3.4 km/s范围内(图2a和图2b),即最大速度降幅小于17.5%(图2c)。数值模拟及岩石学实验显示,地壳流的形成要求岩石强度降低至少一个数量级(图3b),这需要熔体体积百分比大于7%,以形成熔体之间的相互连通。然而,本项研究显示:在高原中部的中下地壳,即使将所有速度降低的原因都归结为岩石的部分熔融(图3a),熔体体积百分比仍然小于7%(图3c)。有限的熔体含量指示青藏高原中部并不存在大规模的地壳流(图3d)。因此,研究者推测高原中部东西向伸展构造是高原中下地壳塑性变形剪切上地壳的结果,而不是地壳流对上地壳的剪切(图1f)。
本研究的结果表明,在地壳流模型中,地壳流的发源地的中下地壳并不存在大规模高流体含量的熔融层,不能形成地壳流。因此地壳流要么规模有限,要么发源地位于壳内低速层更为发育的北羌塘。

图2 青藏高原低速层沿纬度的分布及估计的速度降幅。(a)低速层的深度及厚度,空心圆圈代表最低速度值的深度;(b)低速层的速度最小值;(c)最大速度降幅

图3 低速层的熔融百分比和速度降幅。(a)速度与熔体体积百分比的对应关系;(b)岩石强度与熔体体积百分比的关系;(c)最大估计的熔体体积百分比;(d)岩石强度降;(e-g)分别代表速度、熔体体积和岩石强度降的统计分布
研究成果发表于国际学术期刊JGR-SE(聂仕潭, 田小波*, 梁晓峰, 万博. Less-Well-Developed Crustal Channel-Flow in the Central Tibetan Plateau Revealed by Receiver Function and Surface Wave Joint Inversion[J]. Journal of Geophysical Research: Solid Earth, 2023, 128(4): e2022JB025747. DOI: 10.1029/2022JB025747.)。