网站地图联系我们所长信箱内部网English中国科学院
 
 
首页概况简介800彩票概况研究队伍科研成果实验观测合作交流研究生教育学会学报图书馆党群工作创新文化科学传播信息公开
  新闻动态
  您现在的位置:首页 > 新闻动态 > 研究亮点
孙敏敏等-QSR:华北平原3万年来温度和水文重建
2022-01-29 | 作者: | 【 】【打印】【关闭

  东亚夏季风是全球季风环流系统的重要组成部分,在南北半球间的水热传输中扮演着重要角色,其带来的降水影响着数十亿人口的生产和生活。有学者认为东亚夏季风随全球变暖减弱,也有学者认为其随全球变暖而增强。因此,查明古全球变暖背景下东亚夏季风的变化是评估未来东亚地区水文变化的有效途径。 

  中科院地质与地球物理研究所新生代地质与环境院重点实验室博士研究生孙敏敏,在导师杨石岭研究员的指导下,基于生物标志化合物重建了华北平原3万年来温度和水文变化,探讨了温度对东亚夏季风的影响以及其机制。 

  结果表明,华北平原中全新世(~6000年前)温度比末次冰盛期(~22000前)高~8-9;由于碳酸盐的缓冲效应,土壤pH变化滞后季风降水~2000-4000年。最近3万年来温度和东亚夏季风降水是同步变化的,即温度增加,季风降水增强;这同温度增加导致大气中水蒸气含量增加(%7/)以及热带辐合带北移有关。 

1 白洋淀(左)、宁晋泊(右)的温度、湿度和土壤pH变化(AT:大气温度;MAT:平均大气温度;LGM:末次冰盛期)

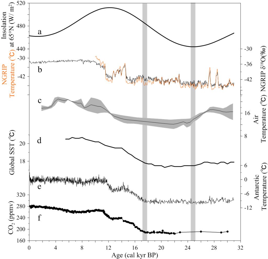
  记录对比显示(图2),从北极到南极(格陵兰、华北平原、海洋、南极)末次冰消期增温起始时间逐渐变晚,依次为~23000年前、~22000年前、~19000年前、~18000年前,均晚于北半球高纬夏季太阳辐射变化(~25000年前),但早于大气CO2浓度变化(~17500年前)。这一现象表明北半球高纬太阳辐射变化触发了北极增温和冰盖的消融,而且揭示了气候信号从北到南的传输过程。 

2 气候记录对比

  该研究成果为全球变暖背景下东亚季风降水的变化提供了地质依据,即随着全球变暖,东亚夏季风降水将增强,中国北方将变湿润。 

  研究成果发表于国际学术期刊Quaternary Science Reviews(孙敏敏,杨石岭*肖举乐,王永达,黄晓芳,张师豪,杨肖肖,姜文英丁仲礼. BrGDGTs-based temperature and hydrological reconstruction from fluvio-lacustrine sediments in the monsoonal North China Plain since 31 kyr BP [J]. Quaternary Science Reviews, 2022, 277:107268. DOI: 10.1016/j.quascirev.2021.107268)。 

 
地址:北京市朝阳区北土城西路19号 邮 编:100029 电话:010-82998001 传真:010-62010846
版权所有© 2009- 800彩票 京ICP备05029136号 京公网安备110402500032号