双俯冲带普遍暴露出大陆边缘高压-超高压变质地体,这一现象受到地质学家的广泛关注和深入研究。台湾造山带和阿尔卑斯造山带均形成于极性相反的双俯冲-碰撞体系,却暴露出不同的高压和高压-超高压变质岩类型(图1)。然而,该体系下大陆边缘俯冲、碰撞和折返的动力学演化过程以及控制高压-超高压变质岩俯冲和折返的关键性参数至今未被充分研究和理解。

图1(a1)台湾和(b1)阿尔卑斯/亚平宁及它们邻近地区主要特征地形图。右下角黄色箭头代表两个板块在不同地质时间的相对汇聚速度,黑色齿轮实线和虚线分别代表目前和历史时期各海沟的分布。(a2)台湾造山带暴露出高压地体的主要构造单元和(b2)阿尔卑斯西部暴露出高压-超高压地体的主要构造单元。CP:海岸平原;WF:西部麓山;HR:雪山山脉;BR:脊梁山脉;TB:Tailuko 带;YB:Yuli 带;LVF:纵向河谷断层;CoR:滨海山脉;FW:前缘楔;ZS:Zermatt-Saas山;GP:大帕拉迪索山;DM:Dora-Maira山;VI:Viso山;CW:白垩纪楔;WTS:Wedge-top 地层
中科院地质与地球物理研究所岩石圈演化国家重点实验室王欣欣博士后与合作导师赵亮研究员,利用三维热-力学数值模拟程序LaMEM,通过对比二维单俯冲、三维单俯冲以及三维双俯冲模型结果,以及测试模型中大陆边缘下地壳强度、莫霍面温度、初始俯冲角度、两海沟之间的角度、地表剥蚀速率、上板块分离速率等影响因素,研究双俯冲体系下板块俯冲、碰撞和折返的演化过程以及两个俯冲板片相互作用对该过程的影响。计算结果表明:
(1)莫霍面温度、上板块分离速率和大陆边缘下地壳强度是大陆边缘深俯冲和高压-超高压岩石快速折返的一阶控制参数。
(2)在极性相反的两个俯冲带相互作用的俯冲通道内,下降的Couette flow和上升的Poiseuille flow被强烈改造,导致大陆边缘地壳无法俯冲至超高压变质深度。
(3)在远离相互作用的俯冲通道内,低的莫霍面温度、强的下地壳和快速的上板块分离等参数联合作用,容易导致大陆边缘的深俯冲以及高压-超高压变质岩石的快速折返;高的莫霍面温度、弱的下地壳和快速的剥蚀等参数,仅造成高压岩石折返到地表。
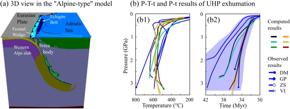
(4)模拟结果正好与阿尔卑斯西部高压-超高压变质域(图2)和台湾岛的高压变质域(图3)相符,说明三维双俯冲-碰撞造山过程可以解释阿尔卑斯西部和台湾区域变质地体的形成演化。

图2 “阿尔卑斯型”模型中高压-超高压变质体计算结果的(a)三维透视图。不同超高压变质体折返过程中(b1)压力-温度变化曲线和(b2)压力-时间变化曲线
图3 “台湾型”模型中高压变质温度/压力峰值结果的(a)三维透视图以及与热年代学研究结果的(b1-b2)二维对比图。(c1-c2)示踪物质的温度-时间演化剖面图
研究成果发表于国际学术期刊JGR: Solid Earth (王欣欣, Kaus B J P, 杨建锋, 王坤, 李杨, 陈凌, 赵亮*. 3D Geodynamic Models for HP-UHP Rock Exhumation in Opposite-Dip Double Subduction-Collision Systems [J]. Journal of Geophysical Research: Solid Earth, 2021, 126: e2021JB022326. DOI: 10.1029/2021JB022326)。该成果受到国家自然科学基金项目(41888101、41625016)、国家重点研发计划项目(2017YFC0601206)以及南方海洋科学与工程广东省实验室(珠海)创新团队建设项目(311021003)等资助。