现代暖期是一个正常的周期事件还是不正常的突变?回答这一问题需要利用不同类型的资料重建温度变化的历史,定量估计现代暖期在古气候变化中的位置,理解自然因素对现代暖期增温的相对贡献。
根据英国气象局的气温资料(HadCRUT4),最近100年(1919-2018)全球年平均气温上升了0.81℃,利用不同插值方法获取的多套仪器观测资料均证实了这一全球最近百年增温趋势。2019年,PAGES2k network(古全球变化最近2000年古全球变化研究网络)发表在Nature Geoscience的成果表明:近百年的增温速率是前所未有的(见前沿报道《全球过去2000年年平均温度序列多指标集成》)。如果将时间尺度再延长至最近一万年,情况变得有所不同,Marcott等(2013)对最近11,300年的全球气温重建结果表明,最近十年的全球气温尚未超过全新世的峰值,但该结果与最近2万年模拟试验(TraCE-21ka)结果不符,可能原因在于解读全新世气候代用记录所反映的季节存在偏差,即代用记录重建全球平均温度的季节代表性受到了质疑。
针对上述问题,800彩票史锋副研究员与郭正堂院士、吴海斌研究员、许晨曦研究员、南京大学鹿化煜教授和比利时法语鲁汶大学尹秋珍教授等利用多指标交叉定量重建模型(即最优信号提取法),实现了气象器测资料-树轮等古气候重建-气候模式模拟对接,获得了最近22000年中国8个区域夏季温度和降水序列(图1和图2)。

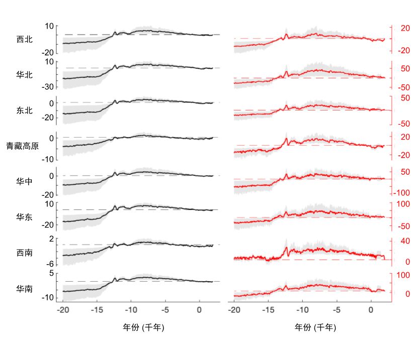
图1 中国8个区域古气候重建和数值模拟结果对比(数据同化后)。左图是夏季(6-8月)温度距平(单位:℃,相对于1961-1990年的平均值);右图是夏季(5-9月)降水距平(单位: 毫米/月,相对于1961-1990年的平均值)。红线:代用指标重建序列;黑线:CESM-LME气候模式最近1000年模拟结果;蓝线:LOVECLIM-LCE气候模式最近2000年模拟结果;绿线:TraCE-21ka气候模式最近2万年模拟结果。东北(NEC;39°N-54°N,119°E-134°E);华北 (NC;36°N-46°N,111°E-119°E);华东(EC;27°N-36°N,116°E-122°E);华中(CC;27°N-36°N,106°E-116°E);华南(SC;20°N-27°N,106°E-120°E);青藏高原(QTP;27°N-36°N,77°E-106°E);西南(SWC;22°N-27°N,98°E-106°E);西北(NWC;36°N-46°N,75°E-111°E)

图2 最近22,000年我国夏季(6-8月)温度(黑线;单位:℃)和(5-9月)降水(红线;单位:毫米/月)相对于1961-1990年平均值的距平(灰色区域指示全体样本的10分位和90分位范围)。点线是1919-2018年(现代暖期)夏季温度和降水的平均值。全部数据经过99点平滑处理
针对现有古气候重建方法存在气候低频变化信息丢失和转换函数参数估计不足等问题,他们引入对于气候低频变化信息具有较高保真能力的集合局地回归法,假定转换函数参数在直接回归和逆回归之间随机变化,同时考虑转换函数中自变量本身误差和回归误差,并利用广义似然不确定性估计方法进行参数优化估计,很大程度上纠正了传统直接回归的综合比例合成方法和局地回归法重建的系统偏差,获得的重建结果低频信号明显优于其他方法重建的结果。
他们利用该方法,根据与代用记录重建气候的相关性,筛选气候模式结果,并赋予筛选后模拟结果不同权重,而后将其集成为区域气候序列,进而实现仪器观测气象数据、树轮等多指标重建气候数据、最近1000年多成员集合模拟数据(CESM-LME)、最近2000年多成员集合模拟数据(LOVECLIM-LCE)、以及最近22,000年模拟数据(TraCE-21ka)对接同化,获得最近22,000年中国8个区域夏季(6-8月)温度和(5-9月)降水变化序列。
结果表明,以百年平均温度计,公元前8100-7600年的全新世期间中国夏季平均温度高于现代暖期大约0.9-6.1℃,也是最近22,000年以来气温最高值;同时,当时各地的夏季降水量也高于现代暖期的平均值大约9.4-46.2毫米/月(图2)。进一步对比分析气候模式最近2万年单因子强迫试验发现,中国北部(包括西北,华北和东北)全新世温度和降水峰值的时间主要受到轨道强迫控制。
此外,基于这一同化结果发现,当前西南降水的水平已接近末次冰盛期,而西北地区最近500年的夏季降水存在缓慢的上升趋势。进一步利用气候模式最近1000年单因子强迫试验表明,气溶胶单因子强迫试验显示西南降水变干的趋势与同化结果幅度相当,说明我国西南的干旱可能是人类排放的气溶胶导致的,而温室气体单因子强迫试验显示西北地区降水存在长期上升趋势,说明同化结果西北地区多百年尺度的变湿可能与全球二氧化碳等温室气体浓度持续上升有关。
这项工作所使用的过去千年我国温度和降水重建结果是他们以前的工作积累,而最近2000年气候模式模拟试验,是他们利用中等复杂模式LOVECLIM1.3开展的70个成员的最近2000年集合模拟试验,也是截至目前国际上最近2000年瞬变气候模拟试验平行成员数目最多的,这一大样本模拟结果为进一步研究气候系统内部变率提供了基础数据。
他们使用气象仪器观测记录对短尺度代用记录反映的气候季节代表性进行了判定,而用于重建末次冰盛期以来气候变化的长尺度代用记录却很难利用仪器观测记录校准其季节性。另一方面,驱动气候模式的外强迫和边界条件的约束也可能存在系统偏差,即使是理想模式和准确约束,由于气候系统是非线性混沌耗散系统,微小计算误差的非线性增长也会产生显著影响,加之气候系统内部变率的随机特性,依然无法准确模拟气候系统内部变率的相位,那么实现气候模式与代用记录精确对比,理论和实践上均存在困难;因此,全面揭示现代暖期的特征和成因至今依然是国际科学难题。本研究的亮点在于利用来自树轮和历史文献等过去千年古气候重建结果校准气候模式,实现了古今气候变化记录直接对接,为评估末次冰盛期以来我国区域气候变化提供了相对独立的基础数据。这一研究思路和方法,可直接用于树轮等短尺度记录与孢粉等长尺度记录的对接,为实现多指标交叉定量重建提供新方法。
研究成果发表于国际权威学术期刊Geophysical Research Letters。(史锋*,鹿化煜,郭正堂,尹秋珍,吴海斌,许晨曦,张恩楼,史江峰,程军,肖霞云,赵成. The position of the Current Warm Period in the context of the past 22,000 years of summer climate in China[J]. Geophysical Research Letters, 2021, 48: e2020GL091940. DOI: 10.1029/2020GL091940)。研究受国家重点研发计划项目“过去气候变化定量重建方法和我国区域气候重建”和国家自然科学基金基础科学中心项目“大陆演化与季风演变”等联合资助。