从指南针的发明到矿物探测、磁共振技术、磁存储技术的发展,对磁场的感知与应用一直与人类文明发展的发展紧密相关。随着现代科学技术的发展,人们对磁场探测技术提出了越来越高的要求。如何探测更微小的空间磁场分布,更微弱强度的磁场信号成为很多科学家想要解决的问题。
基于金刚石NV色心缺陷的量子磁场传感技术,为这个问题提供了一个解决的可能。这里的NV缺陷是指金刚石中的一个替位N原子与一个空位配对并捕获一个电子形成的系统,其基态电子自旋不为零,自旋态可光极化、读取,自旋态可以微波操纵。由于这种缺陷的原子级的尺寸以及其电子自旋态在常温下具优异的自旋相干性,在量子传感和量子计算等领域引起了广泛的关注。
基于NV色心的磁场传感的基本原理是电子自旋塞曼效应(电子的能级随外加磁场的变化而变化,图1)。通过光探测磁共振技术可以对磁场信号进行探测,探测的灵敏度主要受限于光信号的强度、量子态相干性以及量子态的对比度。由于核自旋不为零的N原子与电子自旋产生耦合,造成电子自旋能级劈裂,这种劈裂导致量子态的对比度减小,对应磁场灵敏度减小。传统的解决手段是动态核自旋解耦,但是这种方案会带来很多问题。

图1 (a)金刚石中晶格中的NV色心缺陷,(b)基于金刚石NV色心传感的能级结构表示
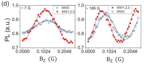
针对这一问题,中科院地质与地球物理所地球与行星物理院重点实验室的李翠红博士及其合作导师等,通过利用多频微波同步操纵的方法解决了这一问题,使得NV色心电子能级的对比度得到充分利用,提高了基于NV色心的磁传感技术的测量灵敏度(图2)。另外由于这种方案主要是针对电子自旋与核自旋耦合造成的能级劈裂的情况,可以拓展应用到其他的基于量子态计算或传感的技术中来解决类似的自旋-自旋耦合问题。


图2 (a)N核自旋与电子自旋耦合造成谱分裂,信号对比度减小,(d)通过多频微波同步操作实现测量信号对比度增强,对应磁场信号增强
研究成果发表于Applied Physics Letters。(Li C H, Dong Y, Xu J Y, et al. Enhancing the sensitivity of a single electron spin sensor by multi-frequency control[J]. Applied Physics Letters, 2018, 113(7): 072401.)(原文链接)