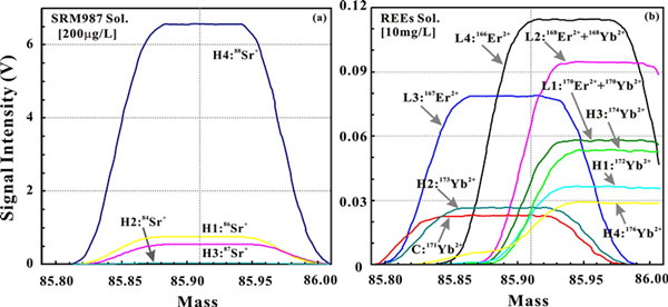
近二十年来,MC-ICP-MS(多接收等离子体质谱)已经成为同位素地球化学中Sr同位素测定的重要工具,尤其是结合激光原位(LA)技术,LA-MC-ICP-MS成为原位微区Sr同位素测定的重要手段。由于ICP(等离子体)离子源高温高效的特点,周期表中绝大多数元素在ICP中能够有效电离以至不同于TIMS(热电离质谱),但稀土元素二价离子可能会对Sr同位素的测定产生干扰。前人研究表明,采用天然丰度来进行稀土元素二价离子的干扰扣除方式效果不仅不明显,同时还会造成测定结果偏低。
为解决测定过程中产生干扰所带来的问题,800彩票科技支撑系统杨岳衡高级工程师及其合作者对MC-ICP-MS准确测定Sr同位素重新进行了详细的评估和考察。他们采用直接测定稀土元素二价离子的干扰方式,并获得准确的测定结果。此外,他们在研究中还发现,在MC-ICP-MS测定Sr同位素时,稀土元素中铒(Er)比镱(Yb)更容易形成二价离子干扰而成为主要的干扰因素。上述结果为今后国际学术界更好地认识和确定稀土元素对Sr同位素测定的影响提供了新认识。

图1 Sr标准溶液NBS987和稀土元素溶液质谱扫描图
该研究成果近期发表在国际光谱核心期刊Spectrochimica Acta Part B: Atomic Spectroscopy(Yang et al. Re-evaluation of interferences of doubly charged ions of heavy rare earth elements on Sr isotopic analysis using multi-collector inductively coupled plasma mass spectrometry. Spectrochimica Acta Part B: Atomic Spectroscopy , 2014 , 97: 118-123)。
原文链接