如果人类真的能像科幻电影和小说中一样,能在长久地在太空中航行,想想是不是有点小激动呢?

我的三体之星舰地球(来源:bilibili-我的三体)
前不久我国发射的问天实验舱舱携带的水稻种子和拟南芥种子成功发芽,目前长势良好。长成的太空水稻还有一个好听的名字叫“小薇”。

长势良好的太空水稻和拟南芥幼苗(来源:bilibili-我们的太空)
除此之外,问天实验舱还搭载了一个生命生态实验柜,在其中放置了藻类,水槽和斑马鱼形成了一个微小的生态系统。通过观察微型生态系统的生命参数可以为将来在太空中建立大型生态系统打好基础 [1]。

问天实验舱成功发射(来源:央广网)
所以,在太空中生活需要注意些什么呢?
微重力的环境
首先,我们在太空中是感受不到重力的,大家可以随便飞!
这是因为,当我们在宇宙飞船、空间站或者月球上时,由于它们都绕着地球转动有一个向心加速度,可以作为一个非惯性参考系。我们在其中会受到惯性力,这个惯性力也可以被称为惯性离心力,力的大小与地球的万有引力相同,方向与万有引力相反,所以就感受不到地球的重力了。

(Tips:非惯性参考系就是具有加速度的参考系,在分析非惯性参考系中物体的运动时要加上一个惯性力,惯性力的大小为物体的质量乘以该参考系的加速度,方向与该参考系的加速度方向相反。)
在电影星际穿越中,主角团们在进入空间站后通过使空间站自转而模拟出了重力,这个重力实际上是由于空间站自转而产生的另一个惯性离心力。

星际穿越中旋转的空间站(来源:电影星际穿越)
假设空间站的尺寸为100m,通过简单的计算可以知道,要实现与在地球上相同的重力,空间站的转速相当于地球自转速度的6000倍。

同样的,要改变重力,只需要设计一个可以提供不同转速的装置就可以了。在问天实验舱中就设计了一个900mm大小的离心机,通过控制转速可以实现重力的精细调节。
看到这里大家不禁想问,在地球上有没有实现失重的办法呢?
众所周知,自由落体是一个失重过程。根据这个原理,人们发展了一种微重力实验室:失重飞机。
一个架次的失重飞行由若干个失重抛物线组成,每个失重抛物线包括4个阶段:急跃升阶段、失重阶段、下降阶段和平飞阶段[2]。每次飞行可以实现15~20次失重次数,每次失重可以持续25~28秒。失重水平可以达到0.01g。

失重飞机一次抛物飞行曲线示意图(来源:参考文献[3])
除此之外,还可以将高空气球在预定高度释放落舱实现失重。这也是一个自由落体过程,失重时间在30~60s,失重水平可以达到10-4g [4]。这些微重力实验室由于失重时间短所以只能完成一些简单实验,可以为之后进入太空中打好基础。
依靠自由落体可以模拟出一个真实的失重环境。
除此之外,可以再想一下:如果给人施加一个向上的大小等于mg的力以抵消重力,不就也达到了失重的效果了吗?
所以人们又发展了中性浮力水槽的失重实验,人体通过在水中增加或减少漂浮器的方法,使人体受到的浮力和重力相等从而实现等效失重 [5]。

航天员进行水下训练(来源:央视新闻)
但是注意在这种情况下,只是人体整体实现了失重的效果,人的组织、器官等还受到重力作用。通过这个方法可以模拟太空行走,失重工程控制等训练。
如何阻挡强辐射环境?
宇宙中的强辐射一般是高能量的粒子。一方面是始终存在的来自宇宙深处的高能质子,离子,或者介子等带电粒子;另一方面是偶然发生的太阳质子事件。宇宙射线中最高能量的粒子的能量甚至能达到地球上加速器所能提供最大能量的几千万倍 [6]。
高能粒子照射到物体表面,会与物体表面的上的原子、分子发生相互作用。对于人体来说,强辐射会使皮肤受到损伤,诱导细胞癌变。
物质中的原子一般通过共价键,离子键,金属键,或者通过分子间的范德瓦尔斯力结合在一起。
这些结合方式本质上是通过原子的外层电子实现的。
所以,如果原子中的外层电子从高能粒子中获得能量,就会脱离出原子,进而破坏了这些化学键,导致原子之间无法稳定结合,从而损伤物体。
除此之外,高能粒子可能会与原子中的内层电子相互作用产生大量有害射线。
首先是电子获得很高的能量直接从固体中脱出,其次是当内层处于低能级的电子从固体中脱出后,外层处于高能级的电子跃迁到低能级从而辐射光子,辐射出的光子也被称为x射线,然后辐射出的x射线进一步激发内层电子从而辐射二次电子。

高能射线与原子中的电子相互作用
更高能量的粒子甚至可以和原子核相互作用,打破核力的束缚,从而辐射出质子、中子。
那么如何阻挡这些高能粒子呢?
一个直接的想法是采用厚厚的材料作为屏障。但是这个方法需要极多的材料,即使屏蔽一个宇宙飞船大小的空间,所需要的防辐射材料就需要以吨为单位[6]。同时高能粒子与材料相互作用再产生的电子、中子、x射线等次级辐射,也会产生新问题。
另一个考虑是:既然这些高能辐射都是带电粒子,那么利用电场或磁场是不是就可以约束粒子或者改变这些粒子的运动轨迹呢?
地磁场的作用就是这样保护了地球上的生命不受宇宙高能射线的损伤。
带电粒子在磁场中运动时会受到洛伦兹力的作用,从而改变运动轨迹。电场也会给带电粒子施加电场力,从而改变粒子速度的大小和方向。
通过合理设计外部空间的电磁场分布,可以使来自宇宙的高能射线发生偏转或减速,从而保护我们的空间站。
值得一提的是,带电粒子在电磁场中的运动轨迹,如下图,是常见的高考题目了。

电子在电磁场中运动受到电场力和洛伦兹力的作用
所以小盆友,我这里有一套五三秘籍,带领人类飞向宇宙的重任就交给你了!
我们可以在航天器表面通上电流产生磁场,模拟出地磁场的分布。
或者利用低强度的磁场使周围空间中的热电子聚集在航天器周围,形成电子云,从而产生强大的电场,进而阻挡带电粒子。
也可以在航天器主舱体上连接四个金属球,分别带负电,从而形成一个非对称的静电场分布,直接偏移周围带电粒子的运动轨迹。[6]

空间站主体舱加四金属球防护装置结构图(来源:餐参考文献6)
当然实际操作中防辐射的防护材料和电磁场的方法肯定是需要搭配使用的。
生活必需品:氧气和水
要想在太空中长期生存,从地面上自带氧气和水毕竟是有限的,那么有哪些方便快捷的生产氧气和水的方法呢?
电解水就是一个简单的方法。通过构造一个电解池,阳极处水分子被氧化失去电子生成氧气和氢离子,氧气随着水流排出,氢离子与固体聚合物膜内水分子结合后在电场的作用下迁移到阴极,阴极处氢离子得到外电路的电子被还原成氢气。

固体聚合物电解水电解池原理图(图片参考自文献[8])
通过电解水除了得到了我们想要的氧气之外,产生的氢气也会有大用处。
人吸收氧气呼出二氧化碳,注意到二氧化碳中也存在氧原子,所以可以利用二氧化碳与氢气发生反应产生水。
但是由于氢气和二氧化碳的性质都比较稳定,所以需要采用催化剂(金属铁、钴、镍、钌)在高温高压的环境下使其反应。由于二氧化碳和氢气混合的比例不同会额外产生一氧化碳、碳单质、甲烷、甲醇等物质,所以在实际操作中需要仔细控制二者参与反应的比例防止产生不利物质。
除此之外,利用过氧化钠和二氧化碳之间的反应也可以生成氧气。

利用二氧化碳制备水和氧气的反应方程式
除了化学反应之外,我们还可以回收日常用水和尿液。通过蒸馏-冷却的方式将纯净水再次制备出来。
水在太空中会表现出与在地面上不同的样子,在没有重力的情况下,水的内部也不存在压强了。但是由于水分子相互间的吸引力,水依然有表面张力。
一团水在太空中最自然的存在方式是形成一个球形。这是因为在相同体积的情况下,球形物体的表面积最小,而液体的表面能等于表面张力乘以表面积,所以在太空中保持球形可以使水的表面能量最低,也就是最稳定的状态。
在之前太空授课中有一个水稳定地存在于杯子中的现象,和在地球上的杯中水一模一样,广大网友还对此展开了一番讨论,这是怎么回事呢?

太空授课中与地面无异的杯中水
这是由于水与玻璃杯表面发生浸润。
在固体与液体接触的表面会有一层附着层。液体分子对附着层中分子的吸引力为内聚力,方向指向液体内部;固体分子对附着层中分子的吸引力为附着力,方向指向固体内部。
若附着力大于内聚力,则附着层分子所受的合力指向固体内部,所以液体分子都会向附着层移动,但是这样又增大了液体与固体的接触面积从而增大表面能量,所以最终会形成如下图所示的浸润平衡的现象。[9]

液体浸润现象(来源:秦允豪《热学》)
Ps:这杯水是宇航员姐姐一滴一滴地挤到杯子里的(是一个很辛苦的过程呢),只要不再对其施加外力,这杯水就会一直保持那个样子。
那么气体在太空中又表现出什么现象呢?
相比于液体,气体分子间的间距要大得多,所以就不存在分子间的吸引力了,气体的压强来自于气体分子的热运动,所以氧气还是自然地逸散在空间中,和在地面上没有区别。
种菜
我们将视角进一步往前看,如果在太空中可以大规模种植植物,建立生态系统,植物可以通过光合作用吸收二氧化碳产生氧气,那么不仅可以解决水和氧气的问题,同时也能解决食物的问题。
前面提到,在太空中大部分时间是处于微重力环境下的。对于植物来说,没有了重力的约束,可能就不需要土壤的支撑了。细胞之间不再受到重力的挤压,彼此间的距离就不会太紧凑,同时细胞可能会朝着四面八方肆意生长,这样种出来的植物可能就会比在地球上大。
但是微重力也可能影响细胞骨架,导致细胞的生长可能出现畸形,或者会影响细胞膜的性质,从而影响细胞间物质的交流,同时微重力也会影响细胞分裂周期[10]。
总之,微重力对植物生长的作用依然是当下太空微重力科学研究的重点。我国发射的问天实验舱也携带了研究微重力情况下植物和细胞生长的实验舱。
在太空中大部分情况是缺少土壤的,所以可以采用水耕栽培的方法种植植物。水耕栽培又被称为无土栽培,在地球上通常用来克服土壤栽培遇到的盐渍化,病虫害,酸碱失衡等困难[11]。水耕栽培通过调配适当的营养液使植物生存。
一般的新鲜植物有75%~95%的部分为水分,剩下的干物质包括C、H、O、N、P、K、Ca、Mg、S等基本元素和Fe、Mn、Zn、Cu、Mo、B、Cl、Ni等微量元素,微量元素具有调节植物的新陈代谢,参与物质的转化和运输、信号传递和渗透调节等功能[12]。
为了给植物提供足够的基本元素和微量元素,我们可以将含各种元素的化合物与蒸馏水溶解混合调配成营养液,同时需要设定一定的溶液PH值。
栽培过程为首先选择饱满无虫病的种子,其次消毒使其在培养过程中不被细菌感染。
然后用水浸种使种子吸足水分,种皮膨胀,从而使种子可以吸收氧气,加强种子代谢、酶促反应等生命过程。
再其次等待其发芽后移栽至营养液中,最后定期更换营养液同时及时补充消耗的氧气[12]。
以水稻水耕栽培为例,从左到右分别为水稻种子吸水露白,发芽以及移栽过程。(来源:参考文献[12])
土壤种植或许也是一种在太空中种植植物的方法。比如在电影火星救援中,主角就是通过利用粪便种植土豆为生。

马克在火星种土豆(来源:电影火星救援)
但是要大面积的进行土壤种植还是需要更加细致的研究外星球土壤的理化性质,然后对土壤进行改造,使土壤可以储存水分、矿物质。同时土壤中必须存在细菌、真菌组成的生物群落以保证植物根际圈的存在,这是因为微生物的氮代谢,发酵和呼吸作用等生命活动对植物根系生长有着重要作用,微生物与植物间形成共生、拮抗和寄生的关系[13]。
总之,在太空中进行土壤种植依然处于一个畅想的阶段,我们先安下心来研究一下刚从月球带回来的月壤吧。诶嘿!

失去梦想之月壤不能种菜(来源:bilibili-光明日报)
用电问题
通过以上的分析过程,想要在太空中生存,不管是生产氧气和水,或者种植植物,更不用提空间站和仪器的运行,这些都是需要大量的能量或者电力。那么在太空中如何发电呢?
能直接想到的一个方法当然是利用太阳能发电了,也就是利用光电效应将光能转化为电能。
对于一个原子来说,电子分布在原子核外部的各个能级之上,当两个原子互相靠近时,这些能级就会发生分裂。对于固体来说,其内部存在大量互相靠近的原子,同时由于原子排列是周期性的,会导致原子中的电子轨道互相交叉从而形成能量连续分布的能带。能容纳电子的部分称为允带,不能容纳电子的部分称为禁带。禁带的大小称为能隙。
允带又分为导带和价带。对于一个半导体来说,在没有外部干扰的情况下,绝大部分电子都处在价带中,不参与导电。只有少部分电子受温度影响会跃迁到导带中参与导电,温度越高,跃迁到导带中的电子越多,这就是半导体随温度升高导电性会变好的原因。这些热电子为平衡载流子。

固体中能带的形成过程及半导体的电子分布
对半导体实施不同的掺杂会变成n型半导体和p型半导体。比如对于硅单质来说,它本身是一个本征半导体,也就是激发到导带的电子和价带的空穴一样多。
如果掺杂磷原子,会额外引入一个电子,从而导致电子比空穴多,主要靠电子导电,也就成为n型半导体。如果掺入硼原子,会额外引入一个空穴,从而导致空穴比电子多,主要靠空穴导电,也就是成为p型半导体。
将p型半导体和n型半导体合在一起就成为了pn结。
由于n型半导体中电子浓度更高,所以电子会发生空间扩散,从n型半导体中扩散到p型半导体中。电子离开n型半导体原本的区域后会留下不可移动的正离子实,形成了正电荷空间区域;电子进入p型半导体填补了原本区域中的空穴,形成了负离子实的负电荷空间区域。电子的空间扩散导致原本中性的二者出现了空间电荷区域,从而在内部形成电场[11]。
当光照射到半导体上时,如果光子的能量大于半导体的禁带宽度,大量电子会吸收光子的能量跃迁到导带中称为非平衡载流子。对于pn结来说,这些非平衡载流子通过内部自发的电场发生迁移,形成电流。太阳能电池就是依靠这个基本原理将光能转化为电能。

pn结光生电流原理示意图
除此之外也可以利用核反应发电。核能发电目前主要的方式是核裂变,未来期望能实现可控核聚变。
不管是核聚变还是核裂变,基本原理都是原子核在极高温下失去质子或中子,质子和中子重新形成新的原子核。新原子核形成的过程中,参与反应的旧原子核和质子中子的总质量大于新的原子核的质量,这是因为原子核内部质子和中子是靠核力的吸引结合在一起的,所以结合能是负的。所以在后面这个过程会发生质量亏损,根据爱因斯坦质能方程,亏损的质量会转化为巨大的能量。
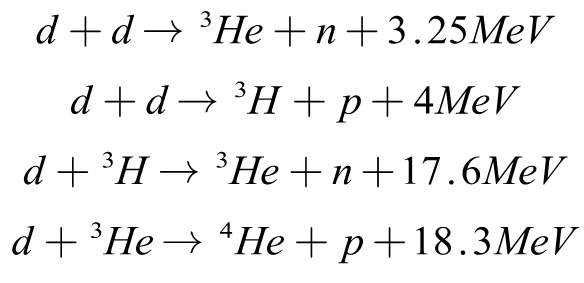
比如一个典型的轻核聚变过程为氘核(一个质子加一个中子)反应生成氦原子核(两个质子加两个中子)、质子和中子的过程,中间产物伴随着氚核(一个质子加两个中子)和氦3(两个质子加一个中子)的产生[15]:

那么如何将核能转化为电能呢?
其实方法很简单,就是烧开水。核能加热水使其变成具备很高动能的水蒸气,水蒸气吹动机械叶片通过电磁感性效应产生交流电。

交流发电机原理图(图源:百度百科)
未来是否能发展其他的发电方式呢?
答案是有的,比如利用热电材料进行温差发电。
对于一个热电材料来说,如果其两端有着不同的温度,就会产生一个电动势,连接上导线短路,就会产生电流。

热电效应示意图(来源:参考文献[16])
热电效应最早由德国科学家塞贝克在1821年发现。其基本原理为:对于半导体来说,其热端的载流子会比冷端具有更大的动能;同时,前面我们提到,热激发也会使载流子从价带跃迁到导带,所以热端跃迁到导带的载流子更多。两者共同的作用使得载流子会扩散到冷端,从而使得半导体两端产生电荷的积累。
比如对于n型半导体,电子从热端迁移到冷端,从而在冷端积累负电荷,热端形成正电荷区域,所以半导体的两端就会形成电势差。[16]
目前热电材料依然处于发展阶段,但也有着广阔的应用前景。
结语
好了,你已经掌握了在太空中生存所需要了解的基本知识了,做好去太空安家和冒险的准备了吗?
虽然但是,人类要飞向宇宙还有着很远的路,需要依靠各行各业每个人共同的努力。
总之,让我们向着远方的星辰和宇宙的深渊,前进!
转载内容仅代表作者观点
不代表中科院800彩票立场
如需转载请联系原公众号
附件下载: